Asetus ajoneuvojen k… (1257 / 1992, muutoksineen)

Voimassa

Asetus ajoneuvojen käytöstä tiellä (1257 / 1992, muutoksineen)

Liikenneministerin esittelystä säädetään 3 päivänä huhtikuuta 1981 annetun tieliikennelain (267/81) nojalla:

1 luku Soveltamisala ja määritelmät

1 § (19.12.2002/1243)Soveltamisala

🇫🇮 Avaa kopio
🇸🇪 Avaa ruotsinkielinen kopio

1. Tätä asetusta sovelletaan ajoneuvoliikenteeseen tiellä sellaisilla ajoneuvoilla, joihin sovelletaan ajoneuvolakia (1090/2002) .

2. Tätä asetusta sovelletaan sotilasajoneuvoihin panssariajoneuvoa lukuun ottamatta, jollei puolustusministeriön asetuksella ajoneuvolain nojalla toisin säädetä.

3. Tämän asetuksen soveltamisesta erikoiskuljetuksiin säädetään erikseen.

2 § (10.1.2019/31)Määritelmät

🇫🇮 Avaa kopio
🇸🇪 Avaa ruotsinkielinen kopio

Ajoneuvojen, ajoneuvoluokkien sekä ajoneuvon mittojen ja massojen määrittelyyn sovelletaan, mitä ajoneuvolaissa ja sen nojalla säädetään. Ajoneuvon mittojen ja massojen määrittelystä säädetään lisäksi Euroopan parlamentin ja neuvoston asetuksen (EY) N:o 661/2009 täytäntöönpanosta moottoriajoneuvojen ja niiden perävaunujen massojen ja mittojen tyyppihyväksyntävaatimusten osalta sekä Euroopan parlamentin ja neuvoston direktiivin 2007/46/EY muuttamisesta annetussa komission asetuksessa (EU) N:o 1230/2012.

Tässä asetuksessa tarkoitetaan:

1) kytkentämassalla kytkennässä sallittua hinattavan ajoneuvon todellista massaa lukuun ottamatta puoliperävaunun, traktoriperävaunun ja keskiakseliperävaunun vetoajoneuvon vetopöytään tai vetokytkimeen kohdistuvaa massaa;

2) jakamattomalla kuormalla kuormaa, jota ei voida tiekuljetuksessa kohtuullisin kustannuksin tai vahingonvaaraa aiheuttamatta jakaa kahteen tai useampaan kuormaan eikä sen massan tai mittojen takia kuljettaa millään ajoneuvolla tai ajoneuvoyhdistelmällä ylittämättä tiellä yleisesti sallittua massa- tai mitta-arvoa; jakamattomalla kuormalla tarkoitetaan myös ulkomaille vietävää tai sieltä tuotavaa tyhjää tai lähtöpaikalla valmiiksi kuormattua, yli 2,80 metriä korkeaa tai yli 12,30 metriä pitkää merikuljetukseen suunniteltua konttia; jos tässä tarkoitetun kontin kuljetus vaatii 4,40 metrin korkeuden ylittämisen tai vastaavasti puoliperävaunuyhdistelmässä 23,00 metrin pituuden tai tiellä yleisesti sallitun massan ylittämisen, kontti katsotaan jakamattomaksi esineeksi vain jakamattoman esineen pakkauksena taikka konttia tyhjänä kuljetettaessa;

3) ministeriöllä liikenne- ja viestintäministeriötä;

4) työvälineellä ajoneuvoon kiinnitettävää vaihdettavissa olevaa konetta, joka on täysin irti maasta tiekuljetuksen aikana tai joka ei voi suhteessa ajoneuvoon kiertyä pystyakselinsa ympäri tiekuljetuksen aikana;

5) mitta- ja massadirektiivillä tiettyjen yhteisössä liikkuvien tieliikenteen ajoneuvojen suurimmista kansallisessa ja kansainvälisessä liikenteessä sallituista mitoista ja suurimmista kansainvälisessä liikenteessä sallituista painoista annettua neuvoston direktiiviä 96/53/EY, sellaisena kuin se on viimeksi muutettuna Euroopan parlamentin ja neuvoston direktiivillä (EU) 2015/719;

6) vaihtoehtoisilla käyttövoimilla mitta- ja massadirektiivin 2 artiklassa tarkoitettuja vaihtoehtoisia polttoaineita;

7) ohjaavalla akselilla akselia, jonka pyöriä voidaan kääntää suoraan tai epäsuorasti suhteessa ajoneuvon pituusakseliin ajoneuvon liikkumissuunnan määräämiseksi;

8) ohjautuvalla akselilla akselia, jonka pyörien ohjauskulma muuttuu vain renkaiden ja tien pinnan välisten voimien vaikutuksesta; ohjautuvana akselina ei kuitenkaan pidetä akselia, jonka ohjauskulmassa tapahtuu pieni muutos akselin kiinnityksen elastisuuden vuoksi.

2 luku Ajoneuvon käyttö ja kunto

3 § (28.12.2018/1310)Ajoneuvoluokkia koskevat nopeusrajoitukset

🇫🇮 Avaa kopio
🇸🇪 Avaa ruotsinkielinen kopio

Ajoneuvon suurin tiellä sallittu nopeus ilman perävaunua on:

1) paketti- ja kuorma-auton (N-luokat), erikoisauton, sekä M-luokkaan kuuluvan matkailu-, ruumis- ja huoltoauton 80 kilometriä tunnissa;

2) sellaisen pakettiauton (N 1 -luokka) ja erikoisauton sekä eläinlääkintä-, matkailu-, ruumis- ja huoltoauton, jonka omamassa on alle 1,8 tonnia ja joka on otettu käyttöön vuonna 1981 tai myöhemmin taikka jonka omamassa on alle 1,875 tonnia ja joka on otettu käyttöön vuonna 1995 tai myöhemmin, kuitenkin 100 kilometriä tunnissa;

3) sellaisen pakettiauton (N 1 -luokka) sekä kokonaismassaltaan enintään 3,5 tonnin eläinlääkintä-, matkailu-, ruumis- ja huoltoauton, joka on varustettu lukkiutumattomin jarruin ja vähintään kuljettajan turvatyynyllä, kun lisäksi matkailuauton ajon aikana käytettäväksi sallitut istuimet on varustettu turvavöin, kuitenkin 100 kilometriä tunnissa;

4) linja-auton (M 2 - ja M 3 -luokka) 80 kilometriä tunnissa, kuitenkin 100 kilometriä tunnissa, jos linja-auto on katsastuksessa hyväksytty käytettäväksi tällä nopeudella eikä siinä ole seisovia matkustajia;

5) moottorikäyttöisen ajoneuvon, jonka vähintään yksi akseli on jousittamaton, 60 kilometriä tunnissa; tämä rajoitus ei kuitenkaan koske ilman takajousitusta olevaa moottoripyörää (L3e- ja L4e-luokka);

6) kaksi- ja kolmipyöräisen mopon ja kevyen nelipyörän 45 kilometriä tunnissa, kuitenkin pienitehoisen mopon, moottorilla varustetun polkupyörän ja kevyen sähköajoneuvon 25 kilometriä tunnissa moottorilla ajettaessa;

7) moottorityökoneen ja maastoajoneuvon 40 kilometriä tunnissa, kuitenkin moottorikelkan ja raskaan moottorikelkan moottorikelkkailureitillä 60 kilometriä tunnissa;

8) muun traktorin kuin liikennetraktorin ja rakenteelliselta nopeudeltaan yli 40 kilometriä tunnissa olevan b-luokan nopean traktorin 40 kilometriä tunnissa;

9) liikennetraktorin sekä polttoainemaksusta annetun lain (1280/2003) 7 §:ssä tarkoitetuissa kuljetuksissa maa- ja metsätaloustraktoriksi katsottavan liikennetraktorin 50 kilometriä tunnissa;

10) b-luokan nopean traktorin 60 kilometriä tunnissa, kuitenkin sellaisen b-luokan nopean traktorin, jonka rakenteellinen nopeus on yli 60 kilometriä tunnissa ja joka on varustettu lukkiutumattomilla jarruilla 80 kilometriä tunnissa;

11) ajoneuvon, jossa on metallipintaisia telaketjuja 20 kilometriä tunnissa.

Ehtona matkailuauton hyväksymiselle käytettäväksi 100 km/h nopeudella on, että matkailuauton takana on mustin 20 mm levein reunoin varustettu keltainen, halkaisijaltaan 240 mm:n mittainen pyöreä kilpi, johon on mustin 120 mm korkein numeroin merkitty luku 100 ja että matkailuauton on katsastuksessa tai tyyppihyväksynnässä todettu täyttävän nopeusluokan edellytyksenä olevat vaatimukset.

Ehtona linja-auton hyväksymiselle käytettäväksi 100 km/h nopeudella on, että linja-auto täyttää seuraavat edellytykset:

1) auto on varustettu lukkiutumattomilla jarruilla;

2) autossa on rengasvalmistajan vähintään 100 km/h nopeudelle ilman käyttöjakson aikarajoitusta hyväksymät renkaat;

3) auton moottorin teho on vähintään 11 kilowattia kokonaismassan tonnia kohden;

4) istuimissa on pääntuet;

5) matkustajien istuimet paikalla, jossa edessä ei ole toista istuinta tai muuta vastaavaa estettä, sekä kuljettajan istuin on varustettu turvavöillä;

6) kuljettajan paikka on takaapäin suojattu;

7) matkatavarat ovat kiinnitettävissä tukevasti paikalleen;

8) ajopiirturin mitta-alue ulottuu vähintään 125 km/h nopeuteen;

9) auton takana on mustin 20 mm levein reunoin varustettu keltainen, halkaisijaltaan 240 mm:n mittainen pyöreä kilpi, johon on mustin 120 mm korkein numeroin merkitty luku 100.

Moottorikäyttöisen ajoneuvon suurin tiellä sallittu nopeus, kun siihen on kytketty hinattava ajoneuvo, on:

1) auton (M- ja N-luokka), moottoripyörän, kolmipyörän ja raskaan nelipyörän 80 kilometriä tunnissa; auton, johon on kytketty luokittelumassaltaan yli 0,75 tonnin jarruton hinattava ajoneuvo, kuitenkin 60 kilometriä tunnissa sekä ajoneuvon, johon on kytketty jousittamaton hinattava ajoneuvo, kuitenkin 60 kilometriä tunnissa;

2) kaksi- ja kolmipyöräisen mopon ja kevyen nelipyörän 45 kilometriä tunnissa, ja rakenteelliselta nopeudeltaan enintään 25 kilometriä tunnissa luokan ajoneuvon kuitenkin 25 kilometriä tunnissa moottorilla ajettaessa;

3) moottorityökoneen ja maastoajoneuvon 40 kilometriä tunnissa, kuitenkin moottorikelkan ja raskaan moottorikelkan moottorikelkkailureitillä, jos perävaunussa ei kuljeteta henkilöitä, 60 kilometriä tunnissa;

4) muun traktorin kuin liikennetraktorin ja rakenteelliselta nopeudeltaan yli 40 kilometriä tunnissa olevan b-luokan nopean traktorin 40 kilometriä tunnissa;

5) liikennetraktorin sekä polttoainemaksusta annetun lain 7 §:ssä tarkoitetuissa kuljetuksissa maa- ja metsätaloustraktoriksi katsottavan liikennetraktorin 50 kilometriä tunnissa;

6) b-luokan nopean traktorin 60 kilometriä tunnissa, kuitenkin b-luokan nopean traktorin ja siihen kytketyn hinattavan ajoneuvon tai hinattavien ajoneuvojen yhdistelmän, jonka kaikki ajoneuvot on varustettu lukkiutumattomilla jarruilla, 80 kilometriä tunnissa;

7) ajoneuvoyhdistelmän, jossa on rautapintaisia telaketjuja, 20 kilometriä tunnissa;

8) traktorin, jos perävaunussa kuljetetaan henkilöitä, 40 kilometriä tunnissa.

Moottorikäyttöistä ajoneuvoa omilla pyörillään tai apuvaunun avulla hinattaessa suurin sallittu nopeus on 60 km/h, jollei kummallekaan ajoneuvolle ole säädetty tai määrätty alhaisempaa nopeutta.

Moottorikäyttöisellä ajoneuvolla tiellä ajettaessa ei saa ylittää ajoneuvon rakenteesta tai rakenteeseen tai varustukseen nähden ylisuuresta kuormasta johtuvaa, viranomaisen tai valmistajan asettamaa enimmäisnopeutta. Ajoneuvoyhdistelmällä ei saa ylittää millekään yhdistelmän ajoneuvoille sallittua suurinta nopeutta.

3 a § (18.12.2014/1272)Nopeuskilpi

🇫🇮 Avaa kopio
🇸🇪 Avaa ruotsinkielinen kopio

1. N 1 -luokan ajoneuvoon, jonka suurin sallittu nopeus on 80 km/h, on kiinnitettävä taakse näkyvä suurinta sallittua nopeutta kilometreinä tunnissa osoittava mustin reunoin varustettu keltainen tai valkoinen, halkaisijaltaan 240 mm:n mittainen pyöreä kilpi, johon on mustin 120 mm korkein numeroin merkitty suurinta sallittua nopeutta kilometreinä tunnissa osoittava luku.

2. Muuhun kuin 1 momentissa tarkoitettuun ajoneuvoon, jonka nopeus on rajoitettu ajoneuvon luokituksesta määräytyvää nopeusrajoitusta alemmaksi ja alemmaksi kuin 80 km/h, on kiinnitettävä 1 momentissa tarkoitettu kilpi.

4 § Tarpeettoman ja häiritsevän ajon kielto

🇫🇮 Avaa kopio
🇸🇪 Avaa ruotsinkielinen kopio

Tarpeeton ja häiritsevä ajo taajamassa on kielletty. Ajoneuvon kulkureitti ja ajotapa on taajamassa muutenkin sovitettava sellaiseksi, ettei siitä tarpeettomasti aiheudu häiriötä.

5 § (19.12.2002/1243)Moottorikäyttöisen ajoneuvon tarpeettoman joutokäynnin kielto

🇫🇮 Avaa kopio
🇸🇪 Avaa ruotsinkielinen kopio

1. Moottorikäyttöisen ajoneuvon seistessä muusta syystä kuin pakollisen liikenne-esteen vuoksi ei ajoneuvon moottoria saa käyttää enempää kuin kaksi minuuttia. Lämpötilan ollessa alle -15°C saa moottoria ennen ajoon lähtemistä kuitenkin käyttää enintään neljä minuuttia. Traktorin, moottorityökoneen ja auton alustalle rakennetun työkoneen moottoria saa kuitenkin käyttää ennen ajoneuvolla tai koneella tehtävän työn alkamista ajoneuvon toimintavalmiiksi saattamiseen tarvittavan ajan.

2. Joutokäynnin kielto ei koske kiireellisessä tehtävässä olevaa hälytysajoneuvoa, poliisin virkatehtävässä käyttämää ajoneuvoa eikä katsastuksen osana toimitettavaan pakokaasumittaukseen odottavaa ajoneuvoa. Kielto ei myöskään koske ajoneuvoa, jonka pääasiallinen käyttötarkoitus tai pääasiallisen käyttötarkoituksen edellyttämä lisälaite, kuten jätteenpuristin, kompressori, pumppu tai nostolava, vaatii moottorin käyttämistä.

6 § (28.12.2018/1310)Poikkeukset turvavyön ja suojakypärän käyttövelvollisuudesta

🇫🇮 Avaa kopio
🇸🇪 Avaa ruotsinkielinen kopio

Tieliikennelaissa (267/1981) säädetty turvavyön käyttämisvelvollisuus ei koske:

1) poliisimiestä, rajavartiomiestä eikä vankeinhoitolaitoksen palveluksessa olevaa heidän ollessaan sellaisessa virkatehtävässä, että turvavyön käyttämisestä voi olla vaaraa tai huomattavaa haittaa;

2) auton tarkastusta suorittavaa katsastajaa;

3) postin, sanomalehtien tai muiden useaan paikkaan jaettavien tavaroiden jakajaa, taikka jätteiden tai muiden useasta paikasta kerättävien tuotteiden kerääjää, kun yhtäjaksoinen ajomatka on enintään sata metriä ja turvavyön käyttämisestä on huomattavaa haittaa;

4) henkilöauton kuljettajaa luvanvaraisessa henkilöliikenteessä, lukuun ottamatta koulukuljetuksia ja ajoa ilman matkustajaa.

Tieliikennelaissa säädetty velvollisuus käyttää suojakypärää ei koske:

1) kolmipyöräisen mopon kuljettajaa ja matkustajaa, jos ajoneuvo on varustettu umpinaisella ohjaamolla;

2) turvavöin ja suojakaarella tai -katoksella varustetun kaksipyöräisen moottoripyörän ja kaksipyöräisen mopon suojakaaren tai -katoksen suojassa olevaa kuljettajaa ja matkustajaa;

3) invalidimoottoripyörän tai invalidimopon kuljettajaa;

4) liikenteen valvonnassa, muussa virkatehtävässä tai puolustusvoimien toiminnassa käytettävän ajoneuvon kuljettajaa tai matkustajaa, jos käytössä on muu kuin tieliikenteeseen hyväksytty kypärä tai jos kypärä haittaa tehtävän suorittamista;

5) moottoripyörän ja mopon tarkastusta suorittavaa katsastajaa;

6) poronhoito- tai metsänhoitotehtävissä, energiansiirto- tai televerkostotöissä taikka verkontarkastustehtävissä olevaa moottorikelkan tai ohjaustangolla ja satulamallisella istuimella varustetun maastoajoneuvon ja traktorin kuljettajaa ja matkustajaa;

7) moottorikelkan tai raskaan moottorikelkan umpinaisessa perävaunussa olevaa matkustajaa;

8) museomoottoripyörän, -mopon ja -moottorikelkan sekä raskaan museomoottorikelkan käyttäjää järjestetyn ajotapahtuman aikana;

9) mopoksi luokitellun polkimin varustetun sähköpolkupyörän kuljettajaa, jos hän käyttää polkupyöräilijälle tarkoitettu kypärää ja jos polkupyörän massa ajokunnossa on enintään 35 kilogrammaa ja moottorin nimellisteho enintään 1 kilowattia.

6 a § (20.4.2006/289)Terveydellisistä syistä turvavyön käyttövelvollisuudesta vapautuminen

🇫🇮 Avaa kopio
🇸🇪 Avaa ruotsinkielinen kopio

Tieliikennelain 88 b §:n 2 momentissa tarkoitetussa lääkärintodistuksessa tulee olla maininta sen voimassaoloajasta ja seuraava tunnus:

🇫🇮 Avaa kopio
🇸🇪 Avaa ruotsinkielinen kopio

7 § on kumottu A:lla 27.6.2018/507 .

7 a § (19.5.1995/809)Ajopiirturin tarkastus

🇫🇮 Avaa kopio
🇸🇪 Avaa ruotsinkielinen kopio

1. Ajoneuvolain 87 §:ssä ja liikennetarvikkeiden kaupasta, asennuksesta ja korjauksesta annetun valtioneuvoston asetuksen (1247/2002) 4 luvussa säädetään tieliikenteen valvontalaitteista annetun neuvoston asetuksen (ETY) N:o 3821/85 liitteessä I olevassa VI luvussa ja liitteessä I B olevassa VI luvussa tarkoitetusta ajopiirturin tarkastusten suorittajasta. (16.6.2005/416)

2 momentti on kumottu A:lla 13.12.2007/1221 .

NAs (ETY) N:o 3821/85 tieliikenteen valvontalaitteista (ajopiirturiasetus) on kumottu asetuksella EPNAs (EU) N:o 165/2014.

7 b § (11.10.1996/714)Eräät tarkastukset ja ilmoitukset

🇫🇮 Avaa kopio
🇸🇪 Avaa ruotsinkielinen kopio

1. Poliisi ja työsuojeluhallinto huolehtivat niistä tarkastuksista, joita tarkoitetaan tieliikenteen sosiaalilainsäädännöstä annettujen neuvoston asetusten (ETY) N:o 3820/85 ja (ETY) N:o 3821/85 täytäntöönpanoa koskevista vähimmäisedellytyksistä ja neuvoston direktiivin 88/599/ETY kumoamisesta annetussa Euroopan parlamentin ja neuvoston direktiivissä 2006/22/EY. Poliisi vastaa ensisijassa tiellä tapahtuvista tarkastuksista ja työsuojeluhallinto yrityksissä tapahtuvista tarkastuksista. (13.12.2007/1221)

2. Edellä 1 momentissa mainitussa direktiivissä, tieliikenteen sosiaalilainsäädännön yhdenmukaistamisesta annetussa Euroopan parlamentin ja neuvoston asetuksessa (EY) N:o 561/2006 ja tieliikenteen valvontalaitteista annetussa neuvoston asetuksessa (ETY) N:o 3821/85 tarkoitettuja ilmoituksia ja tietoja antavat omalta toimialaltaan ministeriö ja Liikenteen turvallisuusvirasto ministeriön tarvittaessa antamien ohjeiden mukaisesti. (8.12.2011/1227)

3. Edellä 7 § 1 momentissa mainitun asetuksen 17 artiklassa tarkoitetun kertomuksen komissiolle laatii työsuojeluhallinto. (13.12.2007/1221)

NAs (ETY) N:o 3821/85 tieliikenteen valvontalaitteista (ajopiirturiasetus) on kumottu asetuksella EPNAs (EU) N:o 165/2014.

8 § Radio- ja televisiovastaanottimen käyttö

🇫🇮 Avaa kopio
🇸🇪 Avaa ruotsinkielinen kopio

1 momentti on kumottu A:lla 19.12.2002/1243 .

2. Radio- ja televisiovastaanottimen sekä muun äänentoistolaitteen käyttö luvanvaraisessa henkilötilausliikenteessä käytettävässä henkilöautossa (M 1 - luokka) ja linjaliikenteessä olevassa linja-autossa (M 2 - ja M 3 -luokka) on kielletty, jos laitteen käyttö häiritsee matkustajaa..

9 § Ohjauslaite

🇫🇮 Avaa kopio
🇸🇪 Avaa ruotsinkielinen kopio

Ohjauslaitteen osat on pidettävä sellaisessa kunnossa ja siten säädettyinä, ettei tarpeetonta väljyyttä tai kireyttä esiinny.

10 § Jarrut

🇫🇮 Avaa kopio
🇸🇪 Avaa ruotsinkielinen kopio

1. Jarrulaitteet on pidettävä siten säädettyinä, että ne ovat kuormittamattomat silloin, kun poljin tai muu käyttölaite on lepoasennossa ja että käyttölaitteella jarrujen ollessa kuormitetut on vielä riittävä liikkumavara kuormituksen suuntaan.

2. Jarrunesteenä saa käyttää vain sellaista nestettä, joka ei haitallisesti jäykisty -40°C lämpötilassa ja joka on tähän tarkoitukseen muutoinkin sopivaa. Jarrunesteen kiehumapisteen tulee olla vähintään 200°C.

11 § (12.10.2006/899)Maastoajoneuvon käyttö tiellä

🇫🇮 Avaa kopio
🇸🇪 Avaa ruotsinkielinen kopio

1. Moottorireellä ja pyörillä varustetulla maastoajoneuvolla saa ylittää tien tai sillan. Moottorirekeä ja pyörillä varustettua maastoajoneuvoa saa tämän lisäksi tarpeellista varovaisuutta noudattaen tilapäisesti kuljettaa tiellä, jos:

a) sen kuljettaminen maastossa on kohtuuttoman vaikeaa kuljetustehtävän tai maaston olosuhteiden vuoksi;

b) sen kuljettamista tiellä on pidettävä tien turvallisen ylittämisen kannalta tarpeellisena;

c) siihen on lisättävä polttoainetta sen käyttömaaston välittömässä läheisyydessä olevalla yleiselle liikenteelle tarkoitetulla alueella;

d) se on siirrettävä tieliikenteeseen tarkoitetusta ajoneuvosta maastoon c kohdassa tarkoitetulla alueella; tai

e) sitä on säilytettävä c kohdassa tarkoitetulla alueella sijaitsevalla pysäköintipaikalla.

2. Edellä 1 momentissa tarkoitetussa tapauksessa moottorireellä on käytettävä ensisijaisesti tien auraamatonta osaa.

3. Traktoriin kytkettyä rekeä saa käyttää tiellä vain poikkeuksellisesti ja vain, jos muulle liikenteelle ei aiheudu vaaraa tai haittaa. Rekeä saa kuormittaa olosuhteiden ja liikenneturvallisuuden sallimaan määrään.

11 a § (24.8.2017/570)Ajoneuvoalustojen käyttö tiellä

🇫🇮 Avaa kopio
🇸🇪 Avaa ruotsinkielinen kopio

Sellaisessa ajoneuvon alustassa, joita ei ole vielä varustettu korilla, ei tilapäisten siirtojen aikana vaadita heijastimia, taustapeilejä, roiskesuojia eikä -läppiä silloinkaan, kun alusta on varustettu ohjaamolla, eikä vetolaitetta, etu- ja taka-alleajosuojaa, sivusuojaa, luvattoman käytön estävää laitetta eikä ajopiirturia.

12 § (28.12.2018/1310)Moottorikelkan hätäkatkaisimen käyttö

🇫🇮 Avaa kopio
🇸🇪 Avaa ruotsinkielinen kopio

Moottorikelkan ja raskaan moottorikelkan hätäkatkaisimen käyttökytkin on kiinnitettävä kuljettajaan ennen moottorin käynnistystä, jos hätäkatkaisimen toimintaperiaate edellyttää kiinnittämistä. Tällainen hätäkatkaisin on pidettävä kiinnitettynä ajon ajan.

13 § (10.1.2019/31)Ohjautuva akseli

🇫🇮 Avaa kopio
🇸🇪 Avaa ruotsinkielinen kopio

Jos autossa tai perävaunussa, jota varten ei ole säädetty tai määrätty ohjauslaitetta koskevia teknisiä vaatimuksia, on ohjautuva akseli, joka on varustettu kuljettajan paikalta käytettävällä tai automaattisesti toimivalla ohjauksen suoraan lukitsevalla laitteella, akseli on pidettävä lukittuna ajettaessa yli 40 kilometriä tunnissa nopeudella.

Jos ajoneuvon kaikki akselit ovat ohjaavia, ajoneuvon kulkuasennon on tavanomaisessa liikenteessä oltava ajoradan suuntainen.

14 § Ajoneuvon hinaaminen

🇫🇮 Avaa kopio
🇸🇪 Avaa ruotsinkielinen kopio

1. Hinattaessa köyttä tai tankoa käyttäen ajoneuvoa, jota ei voi tai saa kuljettaa sen omalla voimakoneella, tulee ajoneuvojen välin olla vähintään kolme ja enintään kuusi metriä. Köyden tai tangon keskiosaan on kiinnitettävä selvästi näkyvä lippu. Ajoneuvoa, jonka jarrut ovat epäkunnossa, saa hinata vain tankoa tai puomia taikka apuvaunua käyttäen ja ajoneuvoa, jonka ohjaus on epäkunnossa, vain apuvaunun avulla tai hinauspuomin varaan nostettuna.

2. Kahden ajoneuvon samanaikainen hinaaminen samalla vetävällä ajoneuvolla on kielletty. Hinattavana oleva ajoneuvo ei ilman pakottavaa syytä saa olla vetävää ajoneuvoa painavampi. Hinattavana olevan ajoneuvon kuljettajalla tulee olla tällaisen ajoneuvon kuljettamiseen oikeuttava ajokortti.

3 luku Renkaiden ja nastojen käyttö

15 § Kaikkien ajoneuvojen renkaat

🇫🇮 Avaa kopio
🇸🇪 Avaa ruotsinkielinen kopio

Ajoneuvo on varustettava sen rekisteröidyn kokonaismassan ja akseleille kohdistuvien massojen edellyttämin renkain ja vantein. Renkaita, joissa kudos on näkyvissä tai jotka ilmeisesti ovat vaarassa räjähtää, ei saa käyttää.

16 § Auton ja traktorin sekä niillä vedettävän perävaunun ja hinattavan laitteen renkaat

🇫🇮 Avaa kopio
🇸🇪 Avaa ruotsinkielinen kopio

1. Auton etupyörissä ei saa käyttää renkaita, joiden puutteellinen tasapaino voi haitata ohjausta. Kulutuspinnan pääurien syvyyden tulee auton, auton perävaunun ja sellaisen hinattavan laitteen renkaissa, jonka suurin sallittu nopeus on suurempi kuin 40 km/h, olla vähintään 1,6 mm. Akselilla, jolla on paripyörät, tämä vaatimus ei koske molempia pyöriä. Pääurilla tarkoitetaan leveitä uria renkaan kulutuspinnan keskialueella noin kolmen neljänneksen leveydellä kulutuspinnasta.

2. Henkilöautossa (M 1 -luokka), jonka kokonaismassa on enintään 3,5 tonnia, ja pakettiautossa (N 1 -luokka), kokonaismassaltaan enintään 3,5 tonnin erikoisautossa sekä kokonaismassaltaan yli 0,75 tonnin ja enintään 3,5 tonnin perävaunussa (O 2 -luokka) on joulu-, tammi- ja helmikuun aikana käytettävä talvirenkaita, joiden kulutuspinnan pääurien syvyys on vähintään 3,0 mm. Talvirenkaita ei tarvitse käyttää:

a) paripyörien molemmissa pyörissä;

b) auton tai sen perävaunun valmistukseen, maahantuontiin, kauppaan, korjaukseen tai katsastukseen liittyvissä tilapäisissä enintään 20 kilometrin pituisissa siirroissa;

c) museoajoneuvossa;

d) sellaisessa autossa tai sen perävaunussa, johon talvirenkaita ei ole saatavissa. (19.12.2002/1243)

3. Henkilö- ja pakettiauton (M 1 - ja N 1 luokka) sekä kokonaismassaltaan enintään 3,5 tonnin perävaunun (O 1 - ja O 2 -luokka) ja erikoisauton samalle akselille asennettavien renkaiden on oltava mitoiltaan, rakenteeltaan ja ominaisuuksiltaan samanlaiset. Jos tällaisessa autossa tai perävaunussa käytetään muita kuin vyörenkaita, sellaiset on asennettava kaikkiin pyöriin. Muussakaan autossa, auton perävaunussa tai hinattavassa laitteessa ei samalla akselilla saa käyttää siinä määrin erilaisia renkaita, että siitä voi aiheutua haittaa tai vaaraa.

4. Milloin autossa tai sen perävaunussa rengasvaurion johdosta joudutaan tilapäisesti käyttämään vararengasta, siihen ei sovelleta 2 ja 3 momentin säännöksiä. Ajoneuvoa on tällöin kuitenkin kuljetettava erityistä varovaisuutta noudattaen.

5. Henkilöauton (M 1 -luokka) taikka kokonaismassaltaan enintään 3,5 tonnin perävaunun (O 1 - tai O 2 -luokka) ilmarenkaan paine ei saa ilman erityistä syytä poiketa renkaan tai ajoneuvon valmistajan suosituksen mukaisesta, ajoneuvon kuormitustilaa vastaavasta paineesta alaspäin enempää kuin 20 prosenttia.

6. Kuorma-autossa, linja-autossa ja kokonaismassaltaan yli 3,5 tonnin henkilöautossa sekä sellaisessa traktorissa, jonka rakenteellinen nopeus on yli 60 kilometriä tunnissa, on joulu-, tammi- ja helmikuun aikana käytettävä vetävillä akseleilla, lukuun ottamatta ohjaavia vetäviä akseleita, talvirenkaita, joiden kulutuspinnan pääurien syvyys on vähintään 5,0 millimetriä. Muilla akseleilla sekä mainitulla ajoneuvolla vedettävän perävaunun ja hinattavan laitteen kaikilla akseleilla on tällöin käytettävä renkaita, joiden kulutuspinnan pääurien syvyys on vähintään 3,0 millimetriä. Talvirenkaita ei tarvitse käyttää ajoneuvon valmistukseen, maahantuontiin, kauppaan, korjaukseen tai katsastukseen liittyvissä tilapäisissä enintään 20 kilometrin pituisissa siirroissa eikä museoajoneuvossa ja sellaisessa ajoneuvossa, johon talvirenkaita ei ole saatavissa. Rengasvaurion johdosta tilapäisesti käytettävän vararenkaan ei kuitenkaan tarvitse täyttää tässä momentissa säädettyjä edellytyksiä. (21.12.2016/1380)

17 § (10.1.2019/31)Liukuesteiden käyttö auton ja siihen kytketyn hinattavan ajoneuvon renkaissa

🇫🇮 Avaa kopio
🇸🇪 Avaa ruotsinkielinen kopio

Auton ja siihen kytketyn hinattavan ajoneuvon renkaat saa varustaa nastoin, lumiketjuin tai vastaavin liukuestein, jotka eivät oleellisesti vahingoita tien pintaa. Nastarenkaita saa käyttää marraskuun 1 päivästä maaliskuun 31 päivään tai toista pääsiäispäivää ensinnä seuraavaan maanantaihin, myöhemmän näistä päivämääristä ollessa määräävä. Muunakin aikana nastarenkaita saa käyttää hälytysajoneuvossa, puolustusvoimien käytössä olevassa maastokäyttöön tarkoitetussa autossa ja perävaunussa, tienpitoon käytettävässä autossa ja perävaunussa sekä hinausautossa. Nastarenkaita saa käyttää muuna aikana myös auton tai hinattavan ajoneuvon kauppaan, korjaukseen tai katsastukseen liittyvissä tilapäisissä siirroissa sekä kaikissa autoissa ja hinattavissa ajoneuvoissa, milloin sää tai keli sitä edellyttää.

Kokonaismassaltaan yli 0,75 tonnin ja enintään 3,5 tonnin perävaunussa (O 2 -luokka) on käytettävä nastarenkaita, jos vetoautossa on sellaiset.

Käytettäessä nastarenkaita henkilö- tai pakettiautossa (M 1 - ja N 1 - luokka) tai kokonaismassaltaan enintään 3,5 tonnin perävaunussa (O 1 -ja O 2 -luokka) taikka erikoisautossa, on nastarenkaat, paripyörien toisia pyöriä lukuun ottamatta, asennettava ajoneuvon kaikkiin pyöriin. Ajoneuvon eri renkaissa saavat nastamäärät poiketa enintään 25 prosenttia ajoneuvon sen renkaan nastamäärästä, jossa nastoja on eniten.

Milloin autossa tai siihen kytketyssä hinattavassa ajoneuvossa rengasvaurion johdosta joudutaan tilapäisesti käyttämään vararengasta, siihen ei sovelleta tämän pykälän säännöksiä. Ajoneuvoa on tällöin kuitenkin kuljetettava erityistä varovaisuutta noudattaen.

Käytetyssä henkilöautonrenkaassa ja kevyessä kuorma-autonrenkaassa saa nastan ulkonema olla enintään 2,0 millimetriä. Käytetyssä kuorma-autonrenkaassa saa nastan ulkonema olla enintään 2,5 millimetriä.

Liikenne- ja viestintävirasto voi myöntää yksittäistä ajoneuvoa koskevan poikkeuksen 1 momentissa säädetystä nastarenkaiden sallitusta käyttöajasta.

Jos ajoneuvoyhdistelmässä, jonka massa on yli 44 tonnia tai pituus yli 18,75 metriä, vetävälle akselille tai vetäville akseleille yhteensä kohdistuva massa on alle 18 prosenttia ajoneuvoyhdistelmän massasta, vetoajoneuvo on 16 §:n 2 momentissa säädettynä aikana varustettava laitteella, jolla voidaan parantaa ajoneuvon liikkeellelähtökykyä liukkaalla tienpinnalla. Tällaisena laitteena ei pidetä yhden vetävän akselin tasauspyörästön toimintaan vaikuttavaa rakennetta.

Jos yli 28 metriä pitkässä ajoneuvoyhdistelmässä vetäville akseleille yhteensä kohdistuva massa on alle 25 prosenttia ajoneuvoyhdistelmän massasta, on vetoajoneuvossa oltava 16 §:n 2 momentissa säädettynä aikana ajoneuvoyhdistelmän liikkeellelähtökyvyn parantamiseksi liukkaalla tienpinnalla hiekoittimet tai ketjuheittimet vähintään yhden vetävän akselin vetokyvyn parantamiseksi taikka hitaassa nopeudessa vetäväksi akseliksi kytkettävä akseli.

18 § (19.12.2002/1243)L-luokan ajoneuvon ja sen perävaunun renkaat ja liukuesteet

🇫🇮 Avaa kopio
🇸🇪 Avaa ruotsinkielinen kopio

1. Kulutuspinnan pääurien syvyyden tulee olla vähintään 1,0 millimetriä. Moottoripyörän ja kolmipyörän etupyörässä ei saa käyttää rengasta, jonka puutteellinen tasapaino voi haitata ohjausta. (30.12.2015/1612)

2. Moottoripyörässä, mopossa, kolmipyörässä, nelipyörässä ja kevyessä nelipyörässä sekä tällaisen ajoneuvon perävaunussa on käytettävä talvikäyttöön sopivia, karkeakuvioisia renkaita 16 §:n 2 momentissa tarkoitettuna aikana. Mainitussa momentissa talvirenkaiden käyttövelvollisuudesta autolle säädetyt poikkeukset koskevat soveltuvin osin myös moottoripyörää, mopoa, kolmipyörää, nelipyörää ja kevyttä nelipyörää sekä tällaisen ajoneuvon perävaunua.

3. Liukuesteiden käyttö moottoripyörässä, mopossa, kolmipyörässä, nelipyörässä ja kevyessä nelipyörässä sekä tällaisen ajoneuvon perävaunussa on sallittu 17 §:ssä henkilöautolle säädetyin ehdoin.

18 a § (30.12.2015/1612)Polkupyörän, polkupyörän perävaunun, potkupyörän, kevyen sähköajoneuvon ja eläimen vetämän ajoneuvon liukuesteet

🇫🇮 Avaa kopio
🇸🇪 Avaa ruotsinkielinen kopio

Polkupyörän, moottorilla varustetun polkupyörän, polkupyörän perävaunun, potkupyörän, kevyen sähköajoneuvon ja eläimen vetämän ajoneuvon renkaat saa varustaa nastoin, lumiketjuin tai vastaavin liukuestein, jotka eivät olennaisesti vahingoita tien pintaa.

19 § Traktorin, moottorityökoneen, maastoajoneuvon ja niiden perävaunun liukuesteet

🇫🇮 Avaa kopio
🇸🇪 Avaa ruotsinkielinen kopio

Traktorin, moottorityökoneen, maastoajoneuvon ja niiden perävaunun renkaat ja telaketjut saa varustaa nastoin, lumiketjuin tai vastaavin liukuestein, jotka eivät oleellisesti vahingoita tien pintaa.

19 a § (10.1.2019/31)Ajoneuvon ja ajoneuvoyhdistelmän massan sekä akselille tai telille kohdistuvan massan enimmäisarvot

🇫🇮 Avaa kopio
🇸🇪 Avaa ruotsinkielinen kopio

Ajoneuvoa tai ajoneuvoyhdistelmää tiellä kuljetettaessa ei akselille tai telille kohdistuva massa eikä ajoneuvon massa saa ylittää liikenneasioiden rekisteriin merkittyä arvoa. Ajoneuvoyhdistelmän massa ei saa ylittää vetoajoneuvon ja hinattavan ajoneuvon tai hinattavien ajoneuvojen liikenneasioiden rekisteriin merkittyjen massojen summaa eikä yhdistelmälle sallittua massaa, jos se on edellä tarkoitettua summaa alempi.

Ajettaessa liukkaalla tien pinnalla ajoneuvon akselille ja telille kohdistuva massa saa akselinnostolaitetta tai akselinkevennystoimintoa käytettäessä tilapäisesti ylittää suurimman tiellä sallitun akseli- tai telimassan, jos se on välttämätöntä riittävän vetopidon saavuttamiseksi eikä siitä aiheudu vahinkoa tielle.

Ajoneuvon akselille ja telille kohdistuva massa saa akselinnostolaitetta tai akselinkevennystoimintoa käytettäessä tilapäisesti ylittää suurimman tiellä sallitun massan, jos se on välttämätöntä riittävän kääntyvyyden saavuttamiseksi. Ajonopeus saa tällöin olla enintään 30 kilometriä tunnissa eikä akselille kohdistuva massa saa olla suurempi kuin 12 tonnia. Ajoneuvoyhdistelmään ei sovelleta, mitä 32 b §:ssä säädetään vaadittavasta vakaudesta, kun akselin nosto tehdään ajonopeuden ollessa alle 30 kilometriä tunnissa.

4 luku Ajoneuvon ja ajoneuvoyhdistelmän massat ja päämitat käytettäessä ETA-valtiossa rekisteröityä tai käyttöön otettua ajoneuvoa Suomessa

19 b § (10.1.2019/31)ETA-valtiossa rekisteröidyn tai käyttöön otetun ajoneuvon käyttö Suomessa

🇫🇮 Avaa kopio
🇸🇪 Avaa ruotsinkielinen kopio

Käytettäessä Euroopan talousalueeseen kuuluvassa valtiossa, jäljempänä ETA-valtio , rekisteröityä tai käyttöön otettua ajoneuvoa Suomessa, sovelletaan tämän luvun säännöksiä.

Jos vuonna 1993 tai myöhemmin käyttöön otetun ajoneuvon tiellä yleisesti sallitut massat ylittävät mitta- ja massadirektiivissä säädetyt suurimmat sallitut arvot:

1) auton kolmi- tai useampiakselisessa telissä vähintään yhden akselin tulee olla ohjaava; ohjaavan akselin sijasta voidaan käyttää ohjautuvaa akselia, joka on lukittuneena suoraan ajoa vastaavaan asentoon nopeuden ollessa 30 kilometriä tunnissa tai enemmän;

2) hinattavan ajoneuvon telin akseleista vähintään yhden on oltava ohjautuva tai ohjaava, jos telin äärimmäisten akselien välinen etäisyys ylittää kaksiakselisessa telissä 2,4 metriä taikka kolmi- tai useampiakselisessa telissä 2,8 metriä;

3) varsinaisen perävaunun kaksiakselisen telin takimmainen akseli saa olla ohjautuva vain, jos ajoneuvon on osoitettu täyttävän E-säännössä n:o 79 tarkoitetut tekniset vaatimukset;

4) apuvaunun avulla kytketyssä telirakenteisessa puoliperävaunussa tulee olla vähintään kaksi muuta kuin ohjautuvaa akselia.

Edellä 2 momentissa tarkoitetun ajoneuvon kolmi- tai useampiakselisen telin muille kuin ohjautuville akseleille kohdistuvien massojen summa on oltava vähintään 1,6 -kertainen ohjautuville akseleille kohdistuvaan massaan verrattuna. Vaatimusta ei sovelleta ajoneuvoon, jonka on osoitettu täyttävän E-säännössä n:o 79 tarkoitetut tekniset vaatimukset.

Edellä 2 ja 3 momentissa säädettyä ei sovelleta ajoneuvoon, jonka suurin sallittu nopeus on enintään 40 kilometriä tunnissa.

20 § (10.1.2019/31)Akselille ja telille kohdistuvat massat

🇫🇮 Avaa kopio
🇸🇪 Avaa ruotsinkielinen kopio

Autoa tai perävaunua tiellä kuljetettaessa sen akselille kohdistuva massa ei saa ylittää seuraavia arvoja:

1) muu kuin vetävä akseli

10 t

2) vetävä akseli

11,5 t

Autoa tiellä kuljetettaessa sen telille kohdistuva massa ei saa ylittää seuraavia arvoja:

1) kaksiakselinen teli, jos akseliväli on pienempi kuin 1,0 metriä

11,5 t

2) kaksiakselinen teli, jos akseliväli on vähintään 1,0 metriä, mutta pienempi kuin 1,3 metriä

16 t

3) kaksiakselinen teli, jos akseliväli on vähintään 1,3 metriä mutta pienempi kuin 1,8 metriä

18 t

4) kaksiakselinen teli, jos akseliväli on vähintään 1,3 metriä, mutta pienempi kuin 1,8 metriä ja kukin vetävä akseli on varustettu paripyörin eikä yhdellekään akselille kohdistuva massa ylitä 9,5 tonnia

19 t

5) kaksiakselinen teli, jos akseliväli on vähintään 1,3 metriä mutta pienempi kuin 1,8 metriä ja vetävä akseli on varustettu paripyörin ja ilmajousitettu tai varustettu ilmajousitusta vastaavaksi tunnustetulla jousituksella

20 t

6) kaksiakselinen teli, jos akseliväli on vähintään 1,3 metriä mutta pienempi kuin 1,8 metriä ja telin kumpikin akseli on varustettu paripyörin sekä ilmajousitettu tai varustettu ilmajousitusta vastaavaksi tunnustetulla jousituksella taikka jos telin kumpikin akseli on vetävä ja varustettu paripyörin eikä yhdellekään akselille kohdistuva massa ylitä 10,5 tonnia

21 t

7) kolmiakselinen teli, jos peräkkäisten akselien välinen etäisyys on pienempi kuin 1,3 metriä

21 t

8) kolmiakselinen teli, jos peräkkäisten akselien välinen etäisyys on vähintään 1,3 metriä

24 t

9) kolmiakselinen teli, jos peräkkäisten akselien välinen etäisyys on vähintään 1,3 metriä ja jos vähintään kaksi telin akseleista on varustettu paripyörin.

27 t

Perävaunua tiellä kuljetettaessa sen telille kohdistuva massa ei saa ylittää seuraavia arvoja:

1) kaksiakselinen teli, jos akseliväli on pienempi kuin 1,0 metriä

11 t

2) kaksiakselinen teli, jos akseliväli on vähintään 1,0 metriä mutta pienempi kuin 1,3 metriä

16 t

3) kaksiakselinen teli, jos akseliväli on vähintään 1,3 metriä mutta pienempi kuin 1,8 metriä

18 t

4) kaksiakselinen teli, jos akseliväli on vähintään 1,8 metriä

20 t

5) kolmiakselinen teli, jos peräkkäisten akselien välinen etäisyys on enintään 1,3 metriä

21 t

6) kolmiakselinen teli, jos peräkkäisten akselien välinen etäisyys on suurempi kuin 1,3 metriä

24 t

7) neli- tai useampiakselinen teli

24 t

8) neli- tai useampiakselinen teli, jos peräkkäisten akselien välinen etäisyys on suurempi kuin 1,3 metriä

27 t

9) neli- tai useampiakselinen teli, jos peräkkäisten akselien välinen etäisyys on suurempi kuin 1,3 metriä ja telin äärimmäisten askelien välinen etäisyys on suurempi kuin 4,7 metriä

30 t

10) viisi- tai useampiakselinen teli, jos peräkkäisten akselien välinen on suurempi kuin 1,3 metriä ja telin äärimmäisten akselien välinen etäisyys on suurempi kuin 6,7 metriä

36 t

Kolmi- tai useampiakselisessa telissä oleville peräkkäisille akseleille kohdistuva massa ei saa ylittää vastaavan akselimäärän mukaiselle telille 2 tai 3 momentin mukaan kohdistuvaa suurinta sallittua massaa. Telissä olevalle akselille kohdistuva massa ei saa ylittää 1 momentissa säädettyä akselille kohdistuvaa suurinta sallittua massaa.

21 § (10.1.2019/31)Auton massa

🇫🇮 Avaa kopio
🇸🇪 Avaa ruotsinkielinen kopio

Autoa tiellä kuljetettaessa sen massa ei saa ylittää seuraavia arvoja:

1) muu kaksiakselinen auto kuin linja-auto

18 t

2) kolmiakselinen auto

25 t

3) kolmiakselinen auto, jos sen vetävä akseli on varustettu paripyörin ja ilmajousitettu tai varustettu ilmajousitusta vastaavaksi tunnustetulla jousituksella taikka jos kukin vetävä taka-akseli on varustettu paripyörin eikä yhdellekään akselille kohdistuva massa ylitä 10,5 tonnia

26 t

4) kolmiakselinen auto, jonka akseleista kaksi on varustettu paripyörin taikka jonka taka-akseleista toinen on ohjaava tai ohjautuva ja varustettu nimellisleveydeltään vähintään 385 millimetriä olevilla renkailla ja vetävä akseli on varustettu paripyörin ja ilmajousitettu tai varustettu ilmajousitusta vastaavaksi tunnustetulla jousituksella

28 t

5) kolmiakselinen nivellinja-auto

28 t

6) neliakselinen auto

31 t

7) neliakselinen auto, jos sen vetävä akseli on varustettu paripyörin ja ilmajousitettu tai varustettu ilmajousitusta vastaavaksi tunnustetulla jousituksella taikka jos kukin vetävä taka-akseli on varustettu paripyörin eikä yhdellekään akselille kohdistuva massa ylitä 10,5 tonnia

35 t

8) viisiakselinen auto

42 t

9) kaksiakselinen linja-auto

19,5 t

Auton massa ei kuitenkaan saa ylittää määrää, joka saadaan lisäämällä jokaiselta 0,10 metriltä, jonka auton äärimmäisten akselien välinen etäisyys ylittää 1,80 metriä, 20 tonniin:

1) 320 kilogrammaa, jos auto on neliakselinen;

2) 350 kilogrammaa, jos auto on viisiakselinen.

Auton massasta vähintään 20 prosenttia tulee kohdistua ohjaavaan akseliin tai ohjaaviin akseleihin. Henkilöauton massasta, auton ollessa kuormattu suurinta rekisteröinnissä ja käytössä sallittua massaa ja täyttä taka-akselistolle kohdistuvaa massaa vastaavasti, kuitenkin vähintään 30 prosenttia tulee kohdistua etuakselille.

M 2 -, M 3 - ja N-luokan ajoneuvon massasta vähintään 25 prosenttia tulee kohdistua vetävään akseliin tai vetäviin akseleihin.

Vaihtoehtoisia käyttövoimia käyttävän auton massa saa olla 1 momentin 1–8 kohdassa säädettyä suurinta sallittua arvoa suurempi siltä osin kuin valmistaja osoittaa, että massan kasvu johtuu vaihtoehtoisen käyttövoiman edellyttämästä lisäpainosta. Lisäystä saa olla enintään yksi tonni.

22 § (10.1.2019/31)Perävaunun massa

🇫🇮 Avaa kopio
🇸🇪 Avaa ruotsinkielinen kopio

Varsinaisen perävaunun massa ei saa ylittää määrää, joka saadaan lisäämällä 20 tonniin 350 kilogrammaa jokaiselta 0,10 metriltä, jonka perävaunun äärimmäisten akselien välinen etäisyys ylittää 1,80 metriä.

23 § (10.1.2019/31)Auton ja perävaunun yhdistelmän massa

🇫🇮 Avaa kopio
🇸🇪 Avaa ruotsinkielinen kopio

Ajoneuvoyhdistelmän massa ei sitä tiellä kuljetettaessa saa ylittää seuraavia arvoja:

1) auton ja keskiakseliperävaunun yhdistelmä

50 t

2) auton ja puoliperävaunun, auton ja varsinaisen perävaunun tai auton ja useamman perävaunun yhdistelmä:

neliakselisena

36 t

viisiakselisena

44 t

kuusiakselisena

53 t

seitsemänakselisena

60 t

kahdeksanakselisena

64 t

kahdeksanakselisena, jos vähintään 65 prosenttia perävaunun massasta tai perävaunujen massasta yhteensä kohdistuu akseleille, jotka on varustettu paripyörin

68 t

yhdeksänakselisena

69 t

vähintään yhdeksänakselisena, jos vähintään 65 prosenttia perävaunun massasta tai perävaunujen massasta yhteensä kohdistuu akseleille, jotka on varustettu paripyörin

76 t

kymmenenakselisena

74 t

vähintään yksitoista-akselisena

76 t

Edellä 1 momentissa akselien lukumäärää laskettaessa kuusi- tai useampiakselisissa yhdistelmissä ei oteta huomioon ilmaan nostettua akselia tai akselia, jonka tiellä hyväksytty massa on pienempi kuin viisi tonnia.

Vetävän ajoneuvon takimmaiselle telille ja perävaunun etummaiselle telille kohdistuvien massojen summa ei saa ylittää määrää, joka saadaan lisäämällä 20 tonniin 350 kilogrammaa jokaiselta 0,10 metriltä, jonka telien äärimmäisten akselien välinen etäisyys ylittää 1,80 metriä.

Massaltaan yli 44 tonnin ajoneuvoyhdistelmän massa ei saa ylittää määrää, joka saadaan lisäämällä 20 tonniin 320 kilogrammaa jokaiselta 0,10 metriltä, jonka ajoneuvon tai ajoneuvoyhdistelmän äärimmäisten akselien väli ylittää 1,80 metriä. Mitä tässä momentissa edellä säädetään, sovelletaan myös 1 momentin 2 kohdassa tarkoitetun yhdistelmän osana olevaan auton ja puoliperävaunun yhdistelmään, jos sen massa on suurempi kuin 44 tonnia.

Ajoneuvoyhdistelmässä, jonka massa on suurempi kuin 40 tonnia, auton takimmaisen ja massaltaan yli 10 tonnin perävaunun etummaisen akselin välin tulee olla vähintään 3,00 metriä.

Auton ja yhden tai useamman perävaunun yhdistelmän vetäville akseleille tulee kohdistua vähintään 15 prosenttia ajoneuvoyhdistelmän massasta. Jos ajoneuvoyhdistelmän massa on yli 68 tonnia, ajoneuvoyhdistelmän massasta vähintään 20 prosenttia tulee kohdistua vetäville akseleille ja vähintään 9 prosenttia vetoauton ohjaaville akseleille.

Massaltaan yli 44 tonnin ajoneuvoyhdistelmässä käytettävän auton moottorin tehon on oltava vähintään 5 kilowattia jokaista yhdistelmämassan tonnia kohden.

Yhdistelmän massa saa olla 1 momentissa säädettyä suurinta sallittua arvoa suurempi 21 §:n 5 momentissa säädetyin edellytyksin, jos yhdistelmän osana on mainitussa momentissa tarkoitettu vaihtoehtoisia käyttövoimia käyttävä auto.

23 a § (10.1.2019/31)Ajoneuvoyhdistelmän massaa koskevat poikkeukset vaarallisten aineiden kuljetuksessa

🇫🇮 Avaa kopio
🇸🇪 Avaa ruotsinkielinen kopio

Jos kuljetukseen sovelletaan vaarallisten aineiden kuljetuksesta annettua lakia (719/1994) , on ajoneuvoyhdistelmän suurin sallittu massa 23 §:n 1 momentin 2 kohdasta poiketen

1) vähintään seitsemänakselisena 60 tonnia;

2) 64 tonnia, jos kysymyksessä on vähintään kolmeakselisen vetoauton ja vähintään viisiakselisen puoliperävaunun yhdistelmä;

3) 68 tonnia, jos:

jos ajoneuvoyhdistelmässä on vähintään kahdeksan akselia ja ajoneuvoyhdistelmän vetoautossa on vähintään neljä akselia; tai

jos ajoneuvoyhdistelmän vetoautossa on vähintään kolme akselia ja kyseessä on vähintään kahdeksanakselinen auton ja kahden puoliperävaunun muodostama ajoneuvoyhdistelmä.

Enintään kahdeksanakselisessa ajoneuvoyhdistelmässä, jonka massa on yli 64 tonnia, vähintään 65 prosenttia perävaunun massasta tai perävaunujen massasta yhteensä tulee kohdistua akseleille, jotka on varustettu paripyörin. Vaatimus ei kuitenkaan koske vaarallisten aineiden säiliökuljetusta, jos kuljetettavan vaarallisen aineen määrä ylittää 5 tonnia.

Edellä 1 ja 2 momentissa säädettyä ei sovelleta pakatun tavaran kuljetukseen, jos kuljetettavan vaarallisen aineen määrä ei ylitä 1 momentissa mainitun lain nojalla säädettyjä tai määrättyjä raja-arvoja, jotka koskevat kuljetusyksikössä kuljetettavaan määrään liittyviä vapautuksia.

24 § (10.1.2019/31)Auton, perävaunun ja niiden yhdistelmän pituus

🇫🇮 Avaa kopio
🇸🇪 Avaa ruotsinkielinen kopio

Auton pituus ei saa ylittää seuraavia arvoja:

1) linja-auto (M 2 - ja M 3 -luokka)

13,50 m

vähintään kolmiakselisena kuitenkin

15,00 m

nivelrakenteisena kuitenkin

18,75 m

nivelrakenteisena useammalla kuin yhdellä nivelellä varustettuna kuitenkin

25,25 m

2) muu auto kuin 1 kohdassa tarkoitettu linja-auto

13,00 m

Perävaunun pituus ei saa ylittää seuraavia arvoja:

1) puoliperävaunun vetotapin pystyakselista perävaunun takimmaiseen osaan

18,00m

2) Yli 22,00 metrin pituisessa ajoneuvoyhdistelmässä käytetty varsinainen perävaunu etuakseliston kääntöpisteestä perävaunun takimmaiseen osaan

16,00 m

3) 1 ja 2 kohdassa tarkoitetun perävaunun vetotapin pystyakselista tai etuakseliston kääntöpisteestä vaakatasossa mihin tahansa kyseisen pisteen etupuolella olevaan kohtaan vetoaisaa mukaan lukematta

2,04 m

4) muu kuin 1 tai 2 kohdassa tarkoitettu perävaunu vetoaisaa mukaan lukematta

12,50 m

Ajoneuvoyhdistelmän pituus ei saa ylittää seuraavia arvoja:

1) henkilö- tai linja-auton (M luokka) ja muun kuin puoliperävaunun yhdistelmä sekä pakettiauton (N 1 -luokka) ja muun kuin puoliperävaunun yhdistelmä

18,75m

2) henkilöauton (M 1 -luokka) taikka pakettiauton (N 1 -luokka) tai N 2 - luokan kuorma-auton ja puoliperävaunun yhdistelmä sekä muu kuin 1, 3, 4 tai 5 kohdassa tarkoitettu ajoneuvoyhdistelmä

16,50 m

3) N 3 –luokan kuorma-auton ja puoliperävaunun yhdistelmä

23,00 m

4) muun kuin 1 kohdassa tarkoitetun auton ja keskiakseliperävaunun yhdistelmä

20,75 m

5) muu kuin 2, 3 tai 4 kohdassa tarkoitettu kuorma-auton (N 2 - ja N 3 - luok-ka) ja yhden tai useamman perävaunun yhdistelmä

34,50 m

josta mitasta vetoauton ohjaamon takana olevien kuormatilojen sisäpituuksien summa

29,24 m

Jos linja-autoon on kiinnitetty suksilaatikko tai muu irrotettava varuste, linja-auton ja siihen kiinnitetyn varusteen pituus ei saa ylittää tässä pykälässä säädettyjä mittoja.

Ajoneuvot tai ajoneuvoyhdistelmät, jotka on varustettu mitta- ja massadirektiivin 8 b artiklassa tarkoitetuilla aerodynaamisilla laitteilla, saavat direktiivissä säädetyin edellytyksin ylittää tässä pykälässä säädetyt mitat, kuormatilan sisäpituuksia lukuun ottamatta. Mittojen ylitys on sallittua vain, jos se on välttämätöntä, jotta tällaiset laitteet voidaan liittää ajoneuvojen tai ajoneuvoyhdistelmien takaosaan, eikä se saa johtaa kuormatilan koon kasvamiseen.

Ajoneuvot tai ajoneuvoyhdistelmät, jotka on varustettu mitta- ja massadirektiivin 9 a artiklassa tarkoitetuilla ohjaamoilla, saavat direktiivissä säädetyin edellytyksin ylittää tässä pykälässä säädetyt mitat, kuormatilan sisäpituuksia lukuun ottamatta. Mittojen ylitys ei saa johtaa kuormatilan koon kasvamiseen.

Perävaunu tai ajoneuvoyhdistelmä, jossa kuljetetaan 45 jalan mittaista konttia tai pituudeltaan 45 jalan mittaista vaihtokoria osana mitta- ja massadirektiivin 2 artiklassa tarkoitettua intermodaalikuljetusta, saa ylittää tässä pykälässä säädetyt mitat 15 senttimetrillä.

Tavarankuljetukseen käytettävään ajoneuvoon saa kiinnittää kuormatilan taakse kyseisen ajoneuvon lastauksessa tai kuormauksessa käytettävän ajoneuvon tai työvälineen huolimatta siitä, että tästä aiheutuu ajoneuvolle tai ajoneuvoyhdistelmälle säädetyn suurimman sallitun pituuden ylitys, jos:

1) tavarankuljetukseen käytettävissä oleva tila ei kasva;

2) muuta yleisesti sallittua mittaa kuin pituus ei ylitetä;

3) tavarankuljetukseen käytettävän ajoneuvon leveyttä ei ylitetä;

4) ajoneuvo, johon on kiinnitetty tässä tarkoitettu ajoneuvo tai työväline täyttää sille säädetyt tai määrätyt taka-alleajosuojausta koskevat vaatimukset;

5) valojen ja takarekisterikilven näkyvyyttä ja näkyvyyskulmia koskevat vaatimukset täyttyvät joko ajoneuvon omilla valaisimilla ja rekisterikilvellä tai tätä tarkoitusta varten asennetuilla lisävalaisimilla ja -rekisterikilvellä; ja

6) ajoneuvon taakse kiinnitetystä ajoneuvosta tai työvälineestä ei aiheudu vaaraa.

25 § (28.12.2018/1310)Muut päämitat

🇫🇮 Avaa kopio
🇸🇪 Avaa ruotsinkielinen kopio

Auton ja perävaunun suurin sallittu korkeus on 4,40 metriä. Tämä mitta ei saa ylittyä ajoneuvon ollessa kuormaamattomana tai akselinnostolaite yläasennossa. Jos ajoneuvon korkeus on yli 4,20 metriä, kuljetuksen suorittajan ja kuljettajan on varmistettava, että kuljetuksen suorittaminen käytettävällä kuljetusreitillä on mahdollista ilman riskiä osumisesta tien yläpuolisiin rakenteisiin.

Ajoneuvon suurin sallittu leveys on 2,60 metriä. Kiinteältä rakenteeltaan yli 22,00 metrin pituisessa yhdistelmässä käytettävän muun kuin lämpöeristetyn ajoneuvon sekä linja-auton suurin sallittu leveys on kuitenkin 2,55 metriä. Museoajoneuvoksi rekisteröidyn linja-auton, joka on liikennekäytössä enintään 50 päivää kalenterivuoden aikana, suurin sallittu leveys on kuitenkin 2,60 metriä. Henkilöauton (M 1 -luokka) suurin sallittu leveys on 2,55 metriä. Moottorikelkan ja raskaan moottorikelkan sekä niiden perävaunun suurin sallittu leveys on 1,70 metriä moottorikelkkailureitillä.

Keskiakseli- tai varsinaisen perävaunun, jonka suurin rekisteröinnissä ja käytössä sallittu massa on yli 3,5 tonnia (O 3 - ja O 4 -luokka), leveys saa ylittää vetoauton leveyden enintään 0,15 metriä. Puoliperävaunun leveys saa ylittää vetoauton etuakselin kohdalta mitatun leveyden enintään 0,35 metriä.

Edellä 2 momentissa tarkoitettuna lämpöeristettynä ajoneuvona pidetään myös säiliöajoneuvoa, jonka säiliö on lämpöeristetty ja jonka säiliön seinän paksuus on vähintään 45 millimetriä.

26 § (10.1.2019/31)Ajoneuvoyhdistelmän kääntyminen

🇫🇮 Avaa kopio
🇸🇪 Avaa ruotsinkielinen kopio

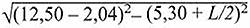
Auton ja puoliperävaunun enintään 16,50 metrin pituisen yhdistelmän, auton ja varsinaisen tai keskiakseliperävaunun enintään 18,75 metrin pituisen yhdistelmän sekä 24 §:n 5–7 momentissa tarkoitetun ajoneuvon tai yhdistelmän on kyettävä liikkumaan kumpaankin suuntaan sellaisen koko ympyrän 360 asteen alueella, jonka määrittävät kaksi samankeskistä ympyrää siten, että ajoneuvon uloimman etukulman kulkiessa 12,50 metrin säteisen ympyrän kaarta pitkin sisäsivu kulkee vähintään 5,30 metrin säteistä kaarta pitkin. Puoliperävaunuyhdistelmän katsotaan täyttävän tämän vaatimuksen, jos etäisyys vetotapista kiinteiden teliakseleiden keskiviivaan ei ole suurempi kuin

jossa L on perävaunun leveys.

Auton ja yhden tai kahden perävaunun muodostaman yli 18,75 metriä pitkän yhdistelmän tulee olla siten kääntyvä, että uloimman etukulman kulkiessa 12,50 metrin säteisen ympyrän kaarta pitkin sisäsivu kulkee vähintään 2,00 metrin säteistä kaarta pitkin. Tällaisessa yhdistelmässä käytettävässä puoliperävaunussa tai varsinaisessa perävaunussa etäisyys vetotapista tai etuakseliston kääntöpisteestä yksiakselisen perävaunun taka-akseliin tai useampiakselisen perävaunun taka-akseliston ohjautumattomien akselien keskiviivaan saa olla enintään 8,15 metriä. Jos perävaunun kaikki taka-akselit ovat ohjaavia tai osa akseleista on ohjautuvia taikka jos toisen puoliperävaunun kytkemistä varten taka-akselit ovat taaksepäin siirrettäviä niiden päälle asennetun vetopöydän takia, edellä mainittu mitta saa olla tässä momentissa säädetyn kääntyvyysehdon puitteissa pitempi.

Sen estämättä, mitä 2 momentissa säädetään, auton ja yhden tai useamman perävaunun yli 18,75 metriä pitkä yhdistelmä sekä yli 16,50 metriä pitkä auton ja puoliperävaunun yhdistelmä saa olla siten kääntyvä, että uloimman etukulman kulkiessa 12,50 metrin säteisen ympyrän kaarta pitkin 120-asteen käännöksen ja ajoneuvoyhdistelmän jatkaessa suoraan, yhdistelmän sisäsivu kulkee vähintään 4,00 metrin säteistä kaarta pitkin. Mikään perävaunun takakulma ei saa siirtyä yli 0,80 metriä ulkokaarteen suuntaan lähdettäessä tähän käännökseen. Jos edellä tarkoitettu perävaunun sivusiirtymä on alle 0,80 metriä, saa yhdistelmän sisäsivu kulkea sen erotuksen verran 4,00 metrin säteistä kaarta pienempisäteistä kaarta pitkin, kuin mitä takakulman sivusiirtymä alittaa 0,80 metriä. Yhdistelmän sisäsivun tulee kuitenkin kulkea vähintään 3,7 metrin säteistä kaarta pitkin. Kuljetuksessa tulee pitää mukana kääntyvyyden täyttymisen osoittamiseksi tarvittavat ajoneuvon ja yhdistelmän tekniset tiedot. Tämän momentin mukaisesti kääntyvässä kuljetuksessa kuljetuksen suorittajan ja kuljettajan on varmistettava, että kuljetuksen suorittaminen käytettävällä kuljetusreitillä on mahdollista ilman riskiä osumisesta ajoradan sivuilla oleviin rakenteisiin.

Edellä 1–3 momentissa mainituissa ajoneuvoyhdistelmän 16,50 ja 18,75 metrin mitoissa ei oteta huomioon 24 §:n 5 ja 6 momentissa tarkoitettuja suurimpien sallittujen mittojen ylitystä.

Jos yhdessä tai useammassa ohjaamattomassa tai ohjautumattomassa teliakselissa on akselinnostolaite, otetaan 1–3 momentin vaatimuksia sovellettaessa huomioon ne akselinnostolaitteiden asennot, jotka parantavat kääntyvyyttä hitaassa nopeudessa.

27 § (10.1.2019/31)Massoja ja mittoja koskevien säännösten soveltaminen muihin ajoneuvoihin

🇫🇮 Avaa kopio
🇸🇪 Avaa ruotsinkielinen kopio

Muiden kuin 20–23, 23 a, 24 ja 25 §:ssä tarkoitettujen ajoneuvojen ja ajoneuvoyhdistelmien massoihin ja päämittoihin sovelletaan 27 a ja 28–30 §:ssä säädetyin poikkeuksin, mitä 19 a, 20–23, 23 a, 24, 25 ja 27 a §:ssä säädetään rakenteeltaan mahdollisimman samankaltaisesta ajoneuvosta. Moottoripyörän, mopon, kolmipyörän, nelipyörän ja kevyen nelipyörän päämitoista säädetään kuitenkin 27 a §:ssä. Traktorin ja perävaunun yhdistelmään ei sovelleta 24 §:n 3 momentin 1 ja 3–5 kohtaa.

Metalliteloin varustetun ajoneuvon massa saa olla enintään 20 tonnia.

27 a § (30.12.2015/1612)Moottoripyörän, mopon, kolmipyörän, raskaan nelipyörän ja kevyen nelipyörän päämitat

🇫🇮 Avaa kopio
🇸🇪 Avaa ruotsinkielinen kopio

Moottoripyörän, mopon, kolmipyörän, raskaan nelipyörän ja kevyen nelipyörän suurimmat sallitut päämitat ovat seuraavat:

a) pituus

4,00 m

L6e-B luokan ajoneuvon pituus kuitenkin

3,00 m

L7e-C luokan ajoneuvon pituus kuitenkin

3,70 m

b) leveys

2,00 m

kaksipyöräisen mopon leveys kuitenkin

1,00 m

L6e-B- ja L7e-C-luokan ajoneuvon leveys kuitenkin

1,50 m

c) korkeus

2,50 m

🇫🇮 Avaa kopio
🇸🇪 Avaa ruotsinkielinen kopio

27 b § on kumottu A:lla 8.3.1996/144 .

28 § (30.12.2015/1612)Polkupyörän, moottorilla varustetun polkupyörän ja kevyen sähköajoneuvon leveys

🇫🇮 Avaa kopio
🇸🇪 Avaa ruotsinkielinen kopio

Enintään kaksipyöräisen polkupyörän suurin sallittu leveys on 25 §:n 2 momentissa säädetystä poiketen 0,80 metriä, kaksipyöräisen moottorilla varustetun polkupyörän kuitenkin 1,00 metriä. Useampipyöräisen polkupyörän suurin sallittu leveys on 1,25 metriä. Kevyen sähköajoneuvon enimmäisleveys on 0,8 metriä.

29 § (13.4.2000/359)Traktorin ja moottorityökoneen sekä niihin kytketyn hinattavan ajoneuvon leveys

🇫🇮 Avaa kopio
🇸🇪 Avaa ruotsinkielinen kopio

1. Traktoria ja moottorityökonetta, jonka leveys on suurempi kuin 2,6 metriä mutta ei kuitenkaan yli 3,0 metriä, saa kuljettaa tiellä siirrettäessä traktoria tai moottorityökonetta työpaikalta toiselle tai huoltotarkoituksessa.

2. Traktorin suurinta leveyttä mitattaessa ei oteta huomioon siihen liitettyä työvälinettä eikä levikepyöriä. Levikepyöristä mitatulta leveydeltään yli 2,6 metriä leveää traktoria tiellä kuljetettaessa on traktoriin kiinnitettävä sekä eteen- että taaksepäin suunnatut suurinta leveyttä vastaamaan asetettavat 30 §:n 4 momentin mukaiset valot ja heijastimet. Leveyttä osoittavat valot vaaditaan kuitenkin vain, jos traktoria kuljetetaan tiellä pimeän tai hämärän aikana taikka näkyvyyden ollessa muutoin sään vuoksi huonontunut. Traktoria ja siihen liitettyä työvälinettä saa kuljettaa yli 4,00 metriä leveänä vain, jos tielaitteet eivät rajoita liikkumista. (19.12.2002/1243)

3. Traktoriin saa kytkeä hinattavan ajoneuvon, jonka leveys on enintään 2,6 metriä, siitä huolimatta, että sen leveys ylittää traktorin leveyden. Kuitenkin saa traktoriin, jonka leveys on yli 2,6 metriä, kytkeä enintään traktorin levyisen hinattavan laitteen ehdolla, ettei hinattavaa laitetta kuljeteta tiellä muulloin kuin siirrettäessä sitä työpaikalta toiselle tai huoltotarkoituksessa.

4. Traktoriin saa kytkeä lietelannan kuljetukseen ja levitykseen käytettävän, enintään 3,3 metriä leveän säiliöperävaunun ehdolla, että yli 2,6 metriä leveää perävaunua tiellä kuljetettaessa traktoriin on kiinnitetty eteenpäin suunnatut ja vastaavasti perävaunun taakse taaksepäin suunnatut, kuljetuksen suurinta leveyttä vastaamaan asetettavat 30 §:n 4 momentin mukaiset valot ja heijastimet. Traktoriin kiinnitettäväksi tarkoitetut, kuljetuksen suurinta leveyttä osoittavat eteenpäin suunnatut valot ja heijastimet saa kiinnittää perävaunun etuosaan, jos traktorin leveys ei estä niiden näkymistä eteenpäin. Leveyttä osoittavat valot vaaditaan kuitenkin vain milloin perävaunua kuljetetaan tiellä pimeän tai hämärän aikana taikka näkyvyyden ollessa sään vuoksi tai muusta syystä huonontunut.

30 § (18.12.2014/1272)Tienpitoon ja maatalouteen käytettävät ajoneuvot ja laitteet

🇫🇮 Avaa kopio
🇸🇪 Avaa ruotsinkielinen kopio

1. Tienpitoon tai maatalouteen käytettäviin työkoneisiin, työvälineisiin ja hinattaviin laitteisiin ei sovelleta 24 eikä 25 §:n päämittoja koskevia säännöksiä. Niitä saa kuitenkin kuljettaa yli 4,00 metriä leveänä vain, jos tielaitteet eivät rajoita liikkumista. Työkone tai laite ei myöskään saa ilmeisesti vaarantaa muuta liikennettä, ja kaikki kohtuudella vaadittavat toimenpiteet ylileveyden poistamiseksi on suoritettava.

2. Ylileveiden työkoneiden, työvälineiden ja laitteiden merkitsemiseksi on ajoneuvon eteen ja taakse tai, jos työvälinettä tai laitetta vedetään, vetävän ajoneuvon eteen ja työvälineen taakse, asetettava pituudeltaan ja sijoitukseltaan ajoneuvon ja työvälineen suurinta leveyttä vastaava, vuorottaisin punaisin ja keltaisin tai punaisin ja valkoisin poikkijuovin tai vinojuovin varustettu kilpi, jonka päissä on edessä valkoiset ja takana punaiset heijastimet. Heijastinta ei edellytetä sellaiselta kilveltä, joka täyttää ajoneuvolain 30 §:n 3 momentissa tarkoitettuun sopimukseen liitetyn E-säännön 104 luokka C:n heijastavuusvaatimukset. Kilpeä ei saa kiinnittää siten, että se heijastaa eteenpäin muuta kuin valkoista tai keltaista valoa. Vastaavat merkinnät voivat olla ajoneuvossa tai laitteessa.

3. Jos 1 momentissa tarkoitettu hinattava laite estää vetävässä ajoneuvossa tai siihen kytketyssä perävaunussa vaadittuja taka-, jarru- ja suuntavalaisimia tai -heijastimia näkymästä taakse, laite tulee varustaa vastaavin valaisimin ja heijastimin tai valaisimet tulee kiinnittää 2 momentissa tarkoitettuun kilpeen taikka hinattava laite varustaa irrallisella, sanotut valaisimet ja heijastimet käsittävällä laitteella.

4. Edellä 29 §:n 2 ja 4 momentissa tarkoitettujen, suurinta leveyttä osoittavien, traktoriin ja sen perävaunuun kiinnitettävien lisävalaisimien valoaukon pinta-alan tulee olla vähintään 50 cm 2 ja niiden hehkulampun tehon on oltava vähintään 15 W ja enintään 21 W tai valoteknisiltä ominaisuuksiltaan näitä vaatimuksia vastaava ja niiden tulee toimia samanaikaisesti etu- ja takavalaisimien kanssa. Eteenpäin suunnattujen valaisimien tulee näyttää ruskeankeltaista valoa ja taaksepäin suunnattujen punaista valoa. Vastaavasti suurinta leveyttä osoittavien lisäheijastimien tulee olla leveydeltään noin 100 mm ja korkeudeltaan noin 200 mm. Eteenpäin suunnattujen heijastimien tulee olla valkoisia tai ruskeankeltaisia ja taaksepäin suunnattujen punaisia. Valaisimien ja heijastimien on oltava vähintään 0,35 metrin ja enintään 1,50 metrin korkeudella, jollei traktorin tai perävaunun rakenteesta muuta johdu. Heijastimet voidaan korvata 2 momentissa tarkoitetulla kilvellä, joka täyttää 2 momentissa mainitut heijastavuusvaatimukset.

5. Edellä 2 momentissa tarkoitettuja vaatimuksia sovelletaan myös traktoriin tai moottorityökoneeseen kiinnitettyyn muuhun kuin ylileveään työvälineeseen, jos työväline ulottuu enemmän kuin 0,20 metriä ajoneuvon suurinta leveyttä vastaavan pituussuuntaisen pystytason ulkopuolelle.

4 a luku Ajoneuvon ja ajoneuvoyhdistelmän massat ja päämitat kansainvälisessä liikenteessä

30 a § (6.6.2013/407)Muualla kuin ETA-valtiossa rekisteröidyn tai käyttöön otetun ajoneuvon käyttö Suomessa ja suomalaisen ajoneuvon käyttö ulkomailla

🇫🇮 Avaa kopio
🇸🇪 Avaa ruotsinkielinen kopio

1. Käytettäessä muussa kuin ETA-valtiossa rekisteröityä tai käyttöön otettua ajoneuvoa Suomessa sovelletaan tämän luvun säännöksiä, jos Suomea sitovassa kansainvälisessä sopimuksessa ei ole muuta sovittu. Tässä tarkoitetun ajoneuvon massat ja mitat eivät kuitenkaan saa ylittää niitä arvoja, jotka ajoneuvolle on teknisesti hyväksytty. Tämän luvun säännöksiä sovelletaan ajoneuvoyhdistelmään, jossa vähintään yksi ajoneuvo on rekisteröity muussa kuin ETA-valtiossa.

2. Käytettäessä Suomessa rekisteröityä ajoneuvoa muussa ETA-valtiossa kuin Suomessa tämä jäsenvaltio voi rajoittaa ajoneuvon massat ja päämitat tässä luvussa mainittuihin arvoihin.

30 b § (11.7.1997/670)Akselille ja telille kohdistuvat massat

🇫🇮 Avaa kopio
🇸🇪 Avaa ruotsinkielinen kopio

1. Suurin akselille kohdistuva massa on:

a) muu kuin vetävä akseli

10 t

b) vetävä akseli

11,5 t

2. Suurin moottorikäyttöisen ajoneuvon kaksiakseliselle telille kohdistuva massa on:

a) jos akseliväli on pienempi kuin 1,0 metriä

11,5 t

b) jos akseliväli on vähintään 1,0 metriä mutta pienempi kuin 1,3 metriä

16 t

c) jos akseliväli on vähintään 1,3 metriä mutta pienempi kuin 1,8 metriä

18 t

d) jos akseliväli on vähintään 1,3 metriä mutta pienempi kuin 1,8 metriä ja vetävä akseli on varustettu paripyörin ja ilmajousitettu tai varustettu ilmajousitusta vastaavaksi tunnustetulla jousituksella taikka jos kukin vetävä akseli on varustettu paripyörin eikä yhdellekään akselille kohdistuva massa ylitä 9,5 tonnia

19 t (19.12.2002/1243)

3. Suurin perävaunun kaksiakseliselle telille kohdistuva massa on:

a) jos akseliväli on pienempi kuin 1,0 metriä

11 t

b) jos akseliväli on vähintään 1,0 metriä mutta pienempi kuin 1,3 metriä

16 t

c) jos akseliväli on vähintään 1,3 metriä mutta pienempi kuin 1,8 metriä

18 t

d) jos akseliväli on 1,8 metriä tai suurempi

20 t

4. Suurin perävaunun kolmiakseliselle telille kohdistuva massa on:

a) jos akselien etäisyys on enintään 1,3 metriä

21 t

b) jos akselien etäisyys on suurempi kuin 1,3 metriä mutta enintään 1,4 metriä

24 t

5. Suurin perävaunun neli- tai useampiakseliselle telille kohdistuva massa on 24 tonnia. (5.4.2018/206)

30 c § (6.6.2013/407)Auton massa

🇫🇮 Avaa kopio
🇸🇪 Avaa ruotsinkielinen kopio

1. Auton suurin massa on:

a) kaksiakselinen auto

18 t

b) kolmiakselinen auto

25 t

kuitenkin, jos sen vetävä akseli on varustettu paripyörin ja ilmajousitettu tai varustettu ilmajousitusta vastaavaksi tunnustetulla jousituksella taikka jos kukin vetävä akseli on varustettu paripyörin eikä yhdellekään akselille kohdistuva massa ylitä 9,5 tonnia

26 t

c) kolmiakselinen nivellinja-auto

28 t

d) neliakselinen auto, jossa on kaksi ohjaavaa akselia, jos sen vetävä akseli on varustettu paripyörin ja ilmajousitettu tai varustettu ilmajousitusta vastaavaksi tunnustetulla jousituksella taikka jos kukin vetävä akseli on varustettu paripyörin eikä yhdellekään akselille kohdistuva massa ylitä 9,5 tonnia

32 t

2. Neliakselisen auton suurin massa tonneina on kuitenkin viisi kertaa auton äärimmäisten akselien väli metreinä.

30 d § (6.6.2013/407)Perävaunun massa

🇫🇮 Avaa kopio
🇸🇪 Avaa ruotsinkielinen kopio

Perävaunun suurin massa on:

a) kaksiakselinen varsinainen tai keskiakseliperävaunu

18 t

b) kolmiakselinen varsinainen tai keskiakseliperävaunu

24 t

30 e § (5.4.2018/206)Auton ja perävaunun yhdistelmän massa

🇫🇮 Avaa kopio
🇸🇪 Avaa ruotsinkielinen kopio

1. Auton ja perävaunun yhdistelmän suurin massa on:

a) kaksiakselisen auton ja kaksiakselisen perävaunun yhdistelmä

36 t

b) kaksiakselisen auton ja kaksiakselisen puoliperävaunun yhdistelmä, jos puoliperävaunun akseliväli on suurempi kuin 1,8 metriä ja jos vetävä akseli on varustettu paripyörin ja ilmajousitettu tai varustettu ilmajousitusta vastaavaksi tunnustetulla

38 t

c) viisi- tai kuusiakselinen auton ja perävaunun yhdistelmä

44 t

2. Auton ja perävaunun yhdistelmää kansainvälisessä liikenteessä kuljetettaessa yhdistelmän massasta tulee vähintään 25 prosenttia kohdistua vetävään akseliin tai vetäviin akseleihin.

3. Ajoneuvoyhdistelmässä, jonka massa on suurempi kuin 40 tonnia, auton takimmaisen ja massaltaan yli 10 tonnin perävaunun etummaisen akselin välin tulee olla vähintään 3,00 metriä.

30 f § (19.12.2002/1243)Auton, perävaunun ja niiden yhdistelmien pituus

🇫🇮 Avaa kopio
🇸🇪 Avaa ruotsinkielinen kopio

1. Ajoneuvon suurin pituus on:

a) linja-auto (M 2 - ja M 3 -luokka)

13,50 m

vähintään kolmiakselisena kuitenkin

15,00 m

nivelrakenteisena kuitenkin

18,75 m

b) muu auto

12,00 m

c) varsinainen ja keskiakseliperävaunu kytkinlaitteineen

12,00 m

d) puoliperävaunu vetotapin pystyakselista perävaunun perään

12,00 m

vetotapin pystyakselista vaakatasossa mihin tahansa sen etupuolella olevaan kohtaan

2,04 m

2. Ajoneuvoyhdistelmän suurin pituus on:

a) auton ja puoliperävaunun yhdistelmä

16,50 m

b) auton ja varsinaisen tai keskiakseliperävaunun yhdistelmä

18,75 m

josta mitasta kuormatilojen sisäpituuksien summa

15,65 m

ja etäisyys vetoauton kuormatilan etupäästä perävaunun kuormatilan takapäähän

16,40 m (4.5.2017/240)

30 g § (19.12.2002/1243)Muut päämitat

🇫🇮 Avaa kopio
🇸🇪 Avaa ruotsinkielinen kopio

1. Auton ja perävaunun suurin korkeus on 4,00 metriä.

2. Henkilöauton (M 1 -luokka) suurin leveys on 2,50 metriä. Muun moottorikäyttöisen ajoneuvon ja perävaunun suurin leveys on 2,55 metriä, lämpöeristetyn ajoneuvon kuitenkin 2,60 metriä. Käytettäessä Suomessa rekisteröityä ajoneuvoa muussa valtiossa tämä valtio voi edellyttää, että lämpöeristetyn ajoneuvon mukana on helposti pilaantuvien elintarvikkeiden kansainvälisiä kuljetuksia ja tällaisissa kuljetuksissa käytettävää erikoiskalustoa koskevassa sopimuksessa (ATP) (SopS 48/1981) tarkoitettu sopimuksen kanssa yhdenmukaisuuden todistava asiakirja tai kilpi.

3. Vetoauton ja varsinaisen perävaunun yhdistelmässä auton takimmaisen ja perävaunun etumaisen akselin väli on vähintään 3,00 metriä.

30 h § (19.12.2002/1243)Ajoneuvoyhdistelmän kääntyminen

🇫🇮 Avaa kopio
🇸🇪 Avaa ruotsinkielinen kopio

Auton ja perävaunun yhdistelmän tulee olla siten kääntyvä, että uloimman etukulman kulkiessa 12,50 metrin säteisen ympyrän kaarta pitkin sisäsivu kulkee vähintään 5,30 metrin säteistä kaarta pitkin. (11.7.1997/670)

5 luku Moottorikäyttöisen ja hinattavan ajoneuvon kytkeminen

31 § (29.4.2004/326)Yleiset hinattavan ajoneuvon kytkentää koskevat ehdot

🇫🇮 Avaa kopio
🇸🇪 Avaa ruotsinkielinen kopio

1. Moottorikäyttöiseen ajoneuvoon saa kerrallaan olla kytkettynä vain yksi hinattava ajoneuvo, jollei tästä pykälästä, 32 §:n 3 momentista tai 35 §:n 4 momentista muuta johdu.

2. Ajoneuvoyhdistelmässä tulee massan jakautumisen olla sellainen, ettei hinattavan ajoneuvon kytkentämassa ylitä jäljempänä olevien kytkentäsääntöjen sallimaa enimmäismäärää.

3. Lukuun ottamatta kuorman purkuun tai lastaukseen liittyviä lyhyitä siirtoajoja puoliperävaunun perään kytkettyyn perävaunuun lastatun kuorman suuruus ei saa johtaa kuormitustilanteeseen, jossa perävaunun kytkentämassa on suurempi kuin sitä vetävän puoliperävaunuyhdistelmän massa. Vastaavasti muun yhdistelmän, puoliperävaunuyhdistelmää lukuun ottamatta, kuormaus ei saa johtaa perävaunun massa-arvoon, joka on yli kaksinkertainen vetoauton massaan nähden.

4. Ajoneuvoyhdistelmässä tulee vetävän ja hinattavan ajoneuvon välisten kytkinlaitteiden olla tarkoituksenmukaiset ja luotettavat sekä ajoneuvon ja kytkinlaitteiden valmistajan kyseiseen käyttöön ja kuormitukselle tarkoittamat.

5. Moottorikäyttöisen ajoneuvon ja siihen kytkettävän hinattavan ajoneuvon tulee olla leveytensä, pituutensa ja muiden kytkentämittojensa sekä jarrun ja sähköjärjestelmiensä samoin kuin muiden kytkentälaitteidensa puolesta sopivia toisiinsa kytkettäviksi.

6. Nähtävyyksiin ja yleisötilaisuuksiin tutustuvien henkilöiden perävaunukuljetuksissa saa kuitenkin autoon tai traktoriin olla kytkettynä kaksi tai useampia perävaunuja. Ajoneuvoyhdistelmän pituus saa olla enintään 25,25 m ja perävaunujen yhteinen kytkentämassa enintään kolme kertaa vetävän ajoneuvon omamassan suuruinen.

32 § (10.1.2019/31)Autoon kytkettävät hinattavat ajoneuvot

🇫🇮 Avaa kopio
🇸🇪 Avaa ruotsinkielinen kopio

Henkilö- ja pakettiautoon (M 1 - ja N 1 -luokka) sekä erikoisautoon saa kytkeä O 1 - tai O 2 -luokan keskiakseliperävaunun, O 2 -luokan puoliperävaunun taikka O 2 -luokan varsinaisen perävaunun. Henkilö- ja pakettiautoon kytkettävän puoliperävaunun ja varsinaisen perävaunun jarrujärjestelmän on oltava kyseiseen kytkentään soveltuva sekä täytettävä perävaunun ensimmäisen käyttöönoton ajankohtana tai myöhemmin voimassa olleet tekniset vaatimukset. Henkilö- ja pakettiautoon kytkettävän puoliperävaunun ja varsinaisen perävaunun, joka on otettu käyttöön ennen 1 päivää tammikuuta 2011, on täytettävä 1 päivänä tammikuuta 2011 tai tätä myöhemmin voimassa olleet jarrujärjestelmää koskevat tekniset vaatimukset.

Linja-autoon (M 2 - ja M 3 -luokat) saa kytkeä keskiakseliperävaunun tai kaksiakselisen varsinaisen perävaunun.

Kuorma-autoon (N2- ja N3- luokka) saa kytkeä:

1) puoliperävaunun;

2) keskiakseliperävaunun;

3) varsinaisen perävaunun;

4) apuvaunun, jonka päälle on kytketty puoliperävaunu;

5) puoliperävaunun, jonka päälle on kytketty puoliperävaunu;

6) puoliperävaunun, johon on kytketty keskiakseliperävaunu;

7) puoliperävaunun, johon on kytketty varsinainen perävaunu;

8) puoliperävaunun, johon on kytketty apuvaunu, jonka päälle on kytketty puoliperävaunu;

9) apuvaunun, jonka päälle on kytketty puoliperävaunu, jonka päälle on kytketty puoliperävaunu;

10) varsinaisen perävaunun, jonka päälle on kytketty puoliperävaunu;

11) puoliperävaunun, jonka päälle on kytketty puoliperävaunu, jonka päälle on kytketty puoliperävaunu.

Edellä 3 momentissa tarkoitetun, kuormaamattomana yli 22,00 metrin pituisen yhdistelmän kaikissa ajoneuvoissa on oltava lukkiutumattomat jarrut.

32 a § (10.1.2019/31)Hinattavan ajoneuvon kytkentämassa

🇫🇮 Avaa kopio
🇸🇪 Avaa ruotsinkielinen kopio

Muun kuin 34 §:ssä tarkoitetun hinattavan ajoneuvon kytkentämassa saa olla enintään pienin seuraavista arvoista:

1) ajoneuvon rakenteeseen ja suorituskykyyn sekä kytkentälaitteen lujuuteen perustuva suurin teknisesti sallittu hinattava massa;

2) jos hinattava ajoneuvo on jarruton, puolet vetoauton omasta massasta, enintään kuitenkin 0,75 tonnia, tai jos kyse on hinattavasta laitteesta, enintään puolet N 2 - tai N 3 -luokkaan kuuluvan vetoauton todellisesta massasta;

3) jos suurimmalta rekisteröinnissä ja käytössä sallitulta massaltaan enintään 3,5 tonnin autoon kytkettävä hinattava ajoneuvo on varustettu työntöjarruin, vetoauton suurin rekisteröinnissä ja käytössä sallittu massa, tai jos vetoautona toimii M 1 G- tai N 1 G-luokan ajoneuvo, 1,5 kertaa vetoauton suurin rekisteröinnissä ja käytössä sallittu massa, enintään kuitenkin 3,5 tonnia;

4) jos suurimmalta rekisteröinnissä ja käytössä sallitulta massaltaan yli 3,5 tonnin autoon kytkettävä perävaunu on varustettu työntöjarruilla, 3,5 tonnia;

5) jos autoon kytkettävä muu hinattava ajoneuvo kuin puoliperävaunu tai sitä vastaava hinattava laite on varustettu jatkuvatoimisella jarrujärjestelmällä, 1,7 kertaa vetoauton suurin rekisteröinnissä ja käytössä sallittu massa;

6) jos suurimmalta rekisteröinnissä ja käytössä sallitulta massaltaan yli 3,5 tonnin autoon kytketään perävaunu tai perävaunuja ilman kuormaa mitattuna yli 22,00 metrin yhdistelmäksi, 2,5 kertaa vetoauton suurin rekisteröinnissä ja käytössä sallittu massa.

Puoliperävaunun telille kohdistuva massa saa olla enintään 1,7 kertaa vetoauton suurin tiellä yleisesti sallittu massa.

32 b § (10.1.2019/31)Ajoneuvoyhdistelmän vakausvaatimus

🇫🇮 Avaa kopio
🇸🇪 Avaa ruotsinkielinen kopio

Edellä 32 §:n 3 momentin 7–11 kohdassa tarkoitetun suurimpaan tiellä yleisesti sallittuun massaan kuormatun ajoneuvoyhdistelmän tulee mitoitukseltaan vastata yhdistelmää, jonka ISO-standardin 14791 mukaisissa ajokokeissa tai vastaavissa simuloinneissa ajonopeudella 80 kilometriä tunnissa ja kuormatilan lattiasta 1,3 metrin korkeudella olevalla kuorman painopisteellä mitattava pystykiertymäkulmanopeuden vahvistumisarvo on enintään 1,90 ja sivuttaiskiihtyvyyden vahvistumisarvo enintään 4,00.

Kuljetuksessa tulee pitää mukana 1 momentissa säädetyn vakausvaatimuksen täyttymisen osoittamiseksi tarvittavat ajoneuvon tekniset tiedot.

33 § (10.1.2019/31)Auton ja perävaunun kytkeminen

🇫🇮 Avaa kopio
🇸🇪 Avaa ruotsinkielinen kopio

Kytkettäessä perävaunu vetoautoon on varmistauduttava siitä, että:

1) vetävän ajoneuvon ja vedettävän ajoneuvon rakenteet eivät kosketa toisiinsa tavanomaisissa ajotilanteissa;

2) kuljettaja voi nähdä auton ja perävaunun tai perävaunujen sivuille ja seurata takaa tulevaa liikennettä;

3) perävaunun tai perävaunujen jarrut ja valaisimet toimivat säännösten ja määräysten mukaisella tavalla;

4) auton ja perävaunun tai perävaunujen paineilmajarrut on yhteensovitettu säännösten ja määräysten mukaisella tavalla.

Edellä 1 momentissa säädetyn lisäksi yli 20,00 metriä pitkässä kuorma-auton ja puoliperävaunun yhdistelmässä sekä muussa yli 28,00 metriä pitkässä ajoneuvoyhdistelmässä on oltava:

1) epäsuoran näkemisen laitteet, joilla kuljettaja näkee koko yhdistelmän sisäkaarteen puoleisen sivun ja sen läheisen alueen 26 §:n 2 tai 3 momentin mukaisessa käännöksessä molempiin suuntiin käännyttäessä;

2) vetoautossa kehittynyt hätäjarrutusjärjestelmä ja kaistavahtijärjestelmä;

3) elektroninen ajonvakautusjärjestelmä ja sähköohjatut jarrut kaikissa yhdistelmän ajoneuvoissa;

4) kuljettajalla tieto kullekin yksittäiselle akselille ja telille kohdistuvasta massasta; vetoajoneuvon etuakselin osalta kuitenkin vain, jos akseli on ilmajousitettu.

Edellä 2 momentin 2 kohdassa tarkoitettua kehittynyttä hätäjarrutusjärjestelmää ja kaistavahtijärjestelmää ja 3 kohdassa tarkoitettua elektronista ajonvakautusjärjestelmää ei kuitenkaan vaadita neli- tai useampiakselisessa autossa, N 3 G -luokan ajoneuvossa eikä kuorma-auton ja kahden puoliperävaunun yhdistelmässä.

Kuljetuksessa tulee pitää mukana 2 momentissa säädettyjen vaatimusten täyttymisen osoittamiseksi tarvittavat ajoneuvon tekniset tiedot.

34 § (30.12.2015/1612)Perävaunun kytkeminen kaksi- ja kolmipyöräisiin ajoneuvoihin sekä niihin rinnastettaviin nelipyöräisiin ajoneuvoihin

🇫🇮 Avaa kopio
🇸🇪 Avaa ruotsinkielinen kopio

1. Moottoripyörään, mopoon, kolmipyörään sekä raskaaseen ja kevyeen nelipyörään saa kytkeä yksiakselisen perävaunun, jonka kokonaismassa ei ylitä valmistajan sallimaa massaa. Kytkentämassa ei kuitenkaan saa ylittää puolta vetävän ajoneuvon kuormittamattomasta massasta. Perävaunun suurin sallittu leveys on 1,50 metriä tai jos vetoajoneuvo on tätä leveämpi, enintään vetoajoneuvon leveys.

2. Polkupyörään ja kevyeen sähköajoneuvoon saa kytkeä perävaunun, jonka leveys on enintään 1,25 metriä ja kytkentämassa enintään 50 kilogrammaa. Kytkentämassa voi olla tätä suurempi, jos vetoajoneuvo soveltuu painavamman perävaunun vetämiseen ja perävaunun hallittavuus tällä massalla on varmistettu perävaunun jarrulaittein tai perävaunun tai vetoajoneuvon valmistajan muiden erityisehtojen mukaisesti.

35 § Hinattavan ajoneuvon kytkeminen traktoriin

🇫🇮 Avaa kopio
🇸🇪 Avaa ruotsinkielinen kopio

1. Traktoriin saa kytkeä hinattavan ajoneuvon, jonka kytkentämassa on:

a) enintään kaksi kertaa traktorin omamassan suuruinen, jolleivät b–c kohdassa tarkoitetut ehdot täyty;

b) enintään 2,6 kertaa traktorin omamassan suuruinen, jos vetokoukkuun kohdistuu pystysuuntainen voima, jonka suuruus on vähintään 15 prosenttia hinattavan ajoneuvon kytkentämassasta, tai jos traktorissa on jarrujärjestelmä, jota käyttäen pelkällä traktorilla suurimmilla 3 momentissa tarkoitetuilla lisäpainoilla varustettuna saavutetaan vähintään 3,5 m/s 2 hidastuvuus; tai

c) enintään kolme kertaa traktorin omamassan suuruinen, jos perävaunussa on traktorin jarrupolkimesta säätyvät jarrut.

2 momentti on kumottu a:lla 5.4.2018/206 .

3. Traktoriin kytkettävän hinattavan ajoneuvon kytkentämassaa määrättäessä saa traktorin omamassassa ottaa huomioon valmistajan suosituksen mukaisesti asennetut lisäpainot ja -rakenteet, kuitenkin enintään kolmasosan traktorin rekisteriin merkitystä omamassasta.

4. Traktoriin kytkettyyn perävaunuun saa kytkeä kytkentämassaltaan pienemmän perävaunun tai vastaavan maatalouteen käytettävän hinattavan ajoneuvon. Perävaunujen tai perävaunun ja hinattavan ajoneuvon yhteenlaskettu kytkentämassa ei saa ylittää etummaisen perävaunun rakenteen perusteella määräytyvää 1 momentissa tarkoitettua massaa. Valaisimia, heijastimia, hitaan ajoneuvon kilpeä ja muita merkintöjä koskevia säännöksiä sovelletaan perävaunuun kytkettyyn hinattavaan ajoneuvoon samalla tavalla kuin traktoriin kytkettyyn hinattavaan ajoneuvoon. (5.4.2018/206)

5. Kävellen ohjattavaksi tarkoitettuun traktoriin saa kytkeä perävaunun edellyttäen, että traktori tai sen perävaunu on varustettu kuljettajan käytettäväksi tarkoitetuin jarruin. Perävaunun kuormaukseen sovelletaan traktorin perävaunun kokonaismassasta annettuja määräyksiä.

6. Kuormaa kantavaan runko-ohjauksella varustettuun traktoriin ei saa kytkeä hinattavaa ajoneuvoa.

36 § (10.1.2019/31)Hinattavan ajoneuvon kytkeminen moottorityökoneeseen ja maastoajoneuvoon

🇫🇮 Avaa kopio
🇸🇪 Avaa ruotsinkielinen kopio

Moottorityökoneeseen saa kytkeä sen poltto- ja voiteluaineiden sekä työhön liittyvien varusteiden ja tarvikkeiden kuljetukseen käytettävän hinattavan ajoneuvon, matkailuperävaunun tai vastaavan hinattavan laitteen. Hinattavan ajoneuvon kytkentämassa saa olla enintään moottorityökoneen omamassan suuruinen.

Vetotrukkina käytettävään moottorityökoneeseen saa, käytettäessä sitä satama- tai terminaalialueella tyhjien ja kuormattujen perävaunujen tai konttien siirtoon, kytkeä hinattavan ajoneuvon tai hinattavia ajoneuvoja.

Maastoajoneuvoon saa kytkeä perävaunun, jonka kytkentämassa on enintään 1,5 kertaa vetävän maastoajoneuvon omamassan suuruinen.

6 luku Ajoneuvon kuormitus

37 § Ajoneuvon kuormaamista koskevat yleiset säännökset

🇫🇮 Avaa kopio
🇸🇪 Avaa ruotsinkielinen kopio

1. Tavara ja henkilöt on sijoitettava ajoneuvoon siten, etteivät ne estä kuljettajaa näkemästä tai haittaa ajoneuvon käsittelyä, ja siten, ettei ajoneuvoon määrätty valaisin, heijastin tai kilpi peity.

2. Moottorikäyttöisen ajoneuvon tavaratilaa ja moottorikäyttöiseen ajoneuvoon kytketyn hinattavan ajoneuvon tavaratilaa ei saa käyttää muihin kuin tässä luvussa tarkoitettuihin henkilökuljetuksiin. (12.5.1995/775)

38 § (20.4.2006/289)Henkilökuljetus autolla

🇫🇮 Avaa kopio
🇸🇪 Avaa ruotsinkielinen kopio

Autossa saa kuljettajan lisäksi olla enintään rekisteriin merkityn istuma- ja seisomapaikkaluvun mukainen määrä matkustajia. Kuljettajan ja matkustajien tulee käyttää istuma- tai seisomapaikkoja, jotka täyttävät niitä koskevat vaatimukset.

Linja- ja ostoliikenteeseen käytettävässä linja-autossa (M 2 - ja M 3 -luokka) saa kuitenkin rekisteriin merkityn matkustajamäärän kuljettaja mukaan lukien tilapäisesti ylittää 30 prosentilla. Kuljettajan viereiselle istumapaikalle ja kaikille turvavöin varustetuille istumapaikoille saa kuitenkin sijoittaa enintään rekisteriin merkityn määrän matkustajia.

39 § (30.12.2015/1612)Henkilökuljetus eräillä L-luokan ajoneuvoilla

🇫🇮 Avaa kopio
🇸🇪 Avaa ruotsinkielinen kopio

1. Moottoripyörällä, jota ei ole varustettu sivuvaunulla, saa kuljettaa enintään yhtä matkustajaa. Edellytyksenä matkustajan kuljettamiselle on kuitenkin, että matkustajaa varten on sopiva istuin ja jalkatuet. Sivuvaunulla varustetun moottoripyörän sivuvaunussa saa kuljettaa enintään kahta matkustajaa.

2. Kaksipyöräisellä mopolla saa kuljettaa yhtä matkustajaa matkustajalle varatulla paikalla, jos ajoneuvo on ajoneuvoliikennerekisteriin tehdyn merkinnän mukaan tarkoitettu matkustajan kuljettamiseen, tai enintään kymmenvuotiasta lasta, jos lasta varten on tarkoituksenmukainen istuin ja tarpeelliset jalkojen suojukset.

3. Kolmipyöräisellä mopolla, kolmipyörällä, kevyellä nelipyörällä ja raskaalla nelipyörällä saa kuljettaa matkustajia enintään rekisteriin merkityn määrän.

4. Henkilökuljetukseen tarkoitetun ajoneuvon kuljettajan ja matkustajan sekä tavaran yhteenlaskettu massa ei saa ylittää:

a) kaksipyöräisellä mopolla, kolmipyöräisellä henkilömopolla, kevyellä maantiemönkijällä tai henkilömopoautolla 325 kilogrammaa;

b) kolmipyörällä 1 000 kilogrammaa;

c) maantiemönkijällä, maastomönkijällä ja henkilönelipyörällä 525 kilogrammaa.

40 § (29.9.2005/791)Henkilökuljetus traktorilla ja moottorityökoneella

🇫🇮 Avaa kopio
🇸🇪 Avaa ruotsinkielinen kopio

1. Traktoriin ja moottorityökoneeseen saa kuljettajan lisäksi ottaa kuljetettavaksi enintään kaksi henkilöä, jos näille on järjestetty kiinteät, turvalliset pyörillä varustettujen maatalous- ja metsätraktoreiden matkustajan istuimia koskevan jäsenvaltioiden lainsäädännön lähentämisestä annetun neuvoston direktiivin 76/763/ETY mukaiset istuimet. Henkilöt eivät saa haitata näkyvyyttä eivätkä muutoinkaan ajoneuvon kuljettamista.

2. Umpinaisella ohjaamolla varustetussa traktorissa ja moottorityökoneessa saa 1 momentin estämättä kuljettaa lasta, jos lapsen kuljettamista varten ajoneuvoon on kiinnitetty lapsen pituuteen ja painoon nähden sopiva turvaistuin tai muu lasten turvalaite. Tällainen istuin on kiinnitettävä luotettavasti ajoneuvoon ja lasta varten joko traktorissa tai turvalaitteessa tulee olla vähintään kolmen pisteen vyökiinnitys. Lapsen istuimen yläpuolella olevan vapaan tilan tulee olla kuormittamattoman istuimen istuinpinnasta ylöspäin mitattuna vähintään 800 mm.

NDir 76/763/ETY pyörillä varustettujen maatalous- ja metsätraktoreiden matkustajan istuimia koskevan jäsenvaltioiden lainsäädännön lähentämisestä on kumottu asetuksella EPNAs (EU) N:o 167/2013 maa- ja metsätaloudessa käytettävien ajoneuvojen hyväksynnästä ja markkinavalvonnasta.

41 § (28.12.2018/1310)Henkilökuljetus maastoajoneuvolla

🇫🇮 Avaa kopio
🇸🇪 Avaa ruotsinkielinen kopio

Maastoajoneuvolla saa kuljettaa ajoneuvon valmistajan tarkoittaman määrän henkilöitä.

42 § Henkilökuljetus polkupyörällä ja kevyellä sähköajoneuvolla

🇫🇮 Avaa kopio
🇸🇪 Avaa ruotsinkielinen kopio

1. Polkupyörällä tai kevyellä sähköajoneuvolla ei saa kuljettaa useampia henkilöitä kuin mille se on rakennettu. Polkupyörän ja kevyen sähköajoneuvon kuljettajan sekä matkustajan ja tavaran yhteenlaskettu massa ei saa ylittää 250 kilogrammaa. (30.12.2015/1612)

2. Kaksipyöräisellä polkupyörällä saa viisitoista vuotta täyttänyt henkilö kuljettaa yhtä enintään kymmenvuotiasta lasta ja kahdeksantoista vuotta täyttänyt henkilö kahta enintään kuusivuotiasta lasta. Lapsen kuljettaminen on kuitenkin sallittua vain, jos polkupyörässä on lasta varten sopiva istuin ja tarkoituksenmukaiset jalkojen suojukset. Kuljetettaessa kahta lasta tulee polkupyörässä olla kaksi erillistä jarrulaitetta.

43 § (19.12.2002/1243)Henkilökuljetus kuorma- ja pakettiauton tavaratilassa

🇫🇮 Avaa kopio
🇸🇪 Avaa ruotsinkielinen kopio

1. Kuorma- ja pakettiauton (N-luokat) tavaratilassa tai kuormalavalla saa kuljettaa matkustajia, jos tavaratila tai kuormalava on varustettu istuimin tai penkein.

2. Kuorma-autoa (N 2 - ja N 3 -luokka), jonka kuormalavalla ei ole istuimia tai penkkejä, saa käyttää tilapäisesti penkinpainajaisajoihin ja vastaaviin muihin tilaisuuksiin liittyviin matkustajien kuljetuksiin edellyttäen, että auton kuljettajalla on vähintään kahden vuoden ajokokemus kuorma-autolla toisen palveluksessa tai luvanvaraisen liikenteen harjoittajana.

3. Kuorma- ja pakettiauton (N-luokat) tavaratilassa, jossa ei ole istuimia eikä penkkejä, saa kuljettaa kuormaamiseen ja kuorman purkamiseen tarvittavaa apuväkeä määräpaikalle ja takaisin.

4. Kuorma- ja pakettiautoa ei saa, ellei tieliikennelain 57 §:stä muuta johdu, käyttää muihin kuin tässä pykälässä tarkoitettuihin matkustajien kuljetuksiin. Kuitenkin on tällaisen auton kuljettajalla oikeus säälittävissä tapauksissa ottaa tien varrelta kuljetettaviksi matkustajia edellyttäen, että kuljetus voi tapahtua turvallisesti.

44 § (28.12.2018/1310)Henkilökuljetus perävaunussa

🇫🇮 Avaa kopio
🇸🇪 Avaa ruotsinkielinen kopio

Puoliperävaunua saa käyttää henkilökuljetukseen noudattaen soveltuvin osin 43 §:n 2 momentin säännöksiä.

Auton ja traktorin perävaunulla saa poliisin hyväksymällä reitillä kuljettaa nähtävyyksiin ja yleisötilaisuuksiin tutustuvia henkilöitä edellyttäen, että perävaunu on varustettu henkilökuljetukseen soveltuvin rakentein ja varustein. Kuljetuksen suurin sallittu ajonopeus on 25 km/h. Kuljetettaessa puoliperävaunulla taikka kahdella tai useammalla toisiinsa kytketyllä perävaunulla henkilöitä tulee vetävän ajoneuvon kuljettajalla olla DE-luokan ajoneuvoyhdistelmän kuljettamiseen oikeuttava ajokortti.

Traktoriperävaunulla saa kuljettaa omaa työväkeä sekä perävaunun kuormaamiseen tai kuorman purkamiseen tarvittavaa apuväkeä työ- tai määräpaikalle ja sieltä takaisin ehdolla, että kuljetus voi tapahtua turvallisesti.

Moottorikelkan ja raskaan moottorikelkan perävaunulla saa kuljettaa henkilöitä moottorikelkkailureitillä. Perävaunussa ei kuitenkaan saa kuljettaa henkilöitä ajettaessa moottorikelkalla tai raskaalla moottorikelkalla muulla tiellä kuin moottorikelkkailureitillä tai tällaista muuta tietä ylitettäessä.

Polkupyörän ja kevyen sähköajoneuvon perävaunulla saa viisitoista vuotta täyttänyt henkilö kuljettaa yhtä enintään kymmenvuotiasta lasta ja kahdeksantoista vuotta täyttänyt henkilö kahta enintään kuusivuotiasta lasta. Lapsen kuljettaminen perävaunussa on kuitenkin sallittu vain, jos perävaunussa on lasta varten sopiva istuin sekä tarkoituksenmukainen rakenne ja tarkoituksenmukaiset suojavarusteet estämään lapsen pääsemistä kosketukseen perävaunun liikkuvien osien ja tien kanssa. Lisäksi polkupyörässä tulee olla kaksi erillistä jarrulaitetta.

Perävaunua ei saa käyttää muihin kuin edellä tässä pykälässä tarkoitettuihin henkilökuljetuksiin.

45 § (10.1.2019/31)Tavarakuljetus

🇫🇮 Avaa kopio
🇸🇪 Avaa ruotsinkielinen kopio

Ajoneuvoa ei saa kuormata siten, että kuorma sivusuunnassa ulottuu ajoneuvon korin tai kuormatilan ulkopuolelle. Jos ajoneuvossa ei ole kuormakoria, kuormatilassa oleva kuorma saa ylittää ajoneuvon etuakselin kohdalta mitatun leveyden enintään 0,35 metrillä. Rajoitusta ei kuitenkaan sovelleta veneen kuljetukseen.

Kuorma saa ajoneuvolle ja ajoneuvoyhdistelmälle tiellä sallitun pituuden rajoissa ulottua ajoneuvon edessä enintään yhden metrin ja takana enintään kaksi metriä ajoneuvon uloimman osan ulkopuolelle. Jos ajoneuvoyhdistelmä ei täytä 26 §:n 1 tai 2 momentin mukaista kääntyvyysvaatimusta, saa kuorma ulottua ajoneuvon takana kuitenkin enintään yhden metrin ajoneuvon uloimman osan ulkopuolelle. Ajoneuvossa oleva kuorma saa kuitenkin aiheuttaa ajoneuvolle sallitun suurimman pituuden ylityksen takana silloin, kun ajoneuvoon on kytketty perävaunu. Lisäksi kuorma saa aiheuttaa vetoajoneuvolle sallitun suurimman pituuden ylityksen kuormaukseen ja kuorman purkuun liittyvissä lyhyissä siirroissa. Edellytyksenä suurimman sallitun pituuden ylitykselle on, että kuormaus on tehty niin, että ei muodostu riskiä vetoajoneuvossa olevan kuorman osumisesta perävaunuun eikä siinä olevaan kuormaan. Kuormaus ei muutenkaan saa aiheuttaa vaaraa liikenneturvallisuudelle.

Henkilöauton (M 1 -luokka) katolla kuljetettavan tavaran massa saa autolle sallittujen massojen rajoissa olla enintään 10 prosenttia auton omamassasta.

Kaksipyöräisellä polkupyörällä saa kuljettaa enintään 50 kilogrammaa tavaraa ja vähintään kolmipyöräisellä polkupyörällä 100 kilogrammaa tavaraa. Tavarankuljetukseen tarkoitetulla polkupyörällä saa henkilöiden ja tavaran yhteenlaskettu massa kuitenkin olla valmistajan salliman kokonaismassan mukainen, mutta kuitenkin enintään 250 kilogrammaa, jos tavarankuljetukseen tarkoitetun polkupyörän ja sen perävaunun hallittavuus on varmistettava ylimääräisillä pyörillä tai jarrulaitteilla taikka valmistajan muilla ratkaisuilla.

Moottorityökonetta ei saa, lukuun ottamatta 36 §:n 1 momentissa tarkoitettuja kuljetuksia perävaunulla, käyttää muihin kuin itse työpaikalla suoritettaviin, työkoneen varsinaisesta käyttötarkoituksesta johtuviin kuljetuksiin.

Kevyellä sähköajoneuvolla henkilöiden ja tavaran yhteenlaskettu massa saa olla valmistajan ilmoittaman suurimman sallitun massan mukainen, mutta kuitenkin enintään 250 kilogrammaa.

Henkilöiden ja tavaran yhteenlaskettu massa ei saa ylittää valmistajan ilmoittamaa suurinta sallittua massaa. Tavarankuljetukseen tarkoitetun ajoneuvon henkilöiden ja tavaran yhteenlaskettu massa ei kuitenkaan saa ylittää:

1) kolmipyöräisellä tavaramopolla tai tavaramopoautolla 375 kilogrammaa;

2) maantiemönkijällä ja maastomönkijällä 675 kilogrammaa;

3) hyötykolmipyörällä ja tavaranelipyörällä 1 075 kilogrammaa.

46 § (10.1.2019/31)Kuorman sijoittaminen

🇫🇮 Avaa kopio
🇸🇪 Avaa ruotsinkielinen kopio

Kuormasta on tehtävä mahdollisimman matala yhtenäinen kokonaisuus. Kuorman painopisteen tulee olla mahdollisimman alhaalla ja lähellä ajoneuvon pituussuuntaista keskiviivaa. Useamman perävaunun ajoneuvoyhdistelmässä kuorma tulee sijoittaa mahdollisimman eteen koko yhdistelmä huomioiden. Ajoneuvoa ei saa kuormata siten, että ajoneuvon painopiste on korkeammalla kuin ajoneuvolle on teknisesti sallittu.

Kuorma tulee mahdollisuuksien mukaan tukea tavaratilan etupäätyä vasten. Kuormassa olevien esineiden terävät osat on suunnattava taaksepäin.

Keskiakseliperävaunu on kuormattava niin, että se kohdistaa vetoajoneuvon kytkentälaitteelle alaspäin suuntautuvan voiman. Alaspäin suuntautuva voima saa olla enintään 10 prosenttia perävaunun akseleille sallitusta massasta tai enintään 1 000 kilogramman massaa vastaava voima, pienemmän voimista ollessa määräävä. Alaspäin suuntautuva voima ei saa ylittää kytkettäville ajoneuvoille eikä kytkentälaitteille sallittuja voimia.

47 § Kuorman varmistaminen

🇫🇮 Avaa kopio
🇸🇪 Avaa ruotsinkielinen kopio

1. Kuorma ei saa kuormakorissa siirtyä siten, että se voi haitata ajoneuvon liikenneturvallista käyttöä. Kuorma ei saa oleellisesti liikkua kuormakoriin nähden, kun kuormaan vaikuttaa eteenpäin voima, joka vastaa kiihtyvyyttä 10 m/s 2 , tai sivulle tai taaksepäin voima, joka vastaa kiihtyvyyttä 5 m/s 2 .

2. Kuorman varmistamiseksi tulee käyttää kuorman tuentaa, sitomista, lukitsemista tai peittämistä. Kuorman varmistuksen lujuutta määritettäessä saa kitkan tarjoaman pidätyskyvyn ottaa huomioon.

3. Kuorma on suojattava kuormapeitteellä, jos on vaara, että kuorma pölyää tai varisee tielle ajoviiman vaikutuksesta.

48 § Kuorman sitominen

🇫🇮 Avaa kopio
🇸🇪 Avaa ruotsinkielinen kopio

1. Kuorman eteenpäin liikkumisen estävän sitomisvälineen on oltava mahdollisimman vaakasuorassa, eikä se ilman erityistä syytä saa olla yli 60° kulmassa vaakatasoon nähden. Sitomisväline ei saa olla ajoneuvon tai kuorman terävää reunaa vasten.

2. Sitomisvälineiden tulee olla kunnollisesti jännitettyjä, ja niiden jännitys on tarvittaessa tarkastettava kuljetuksen kestäessä. Yksittäisen siteen tai kiinnittimen irtoaminen, vaurioituminen tai löystyminen ei saa heikentää muuta kuorman sidontaa. Sitomisvälineen kiristyslaite on sijoitettava siten, ettei se lisää ajoneuvon leveyttä.

3. Kuljetettaessa puu- tai muuta vastaavaa pitkää tavaraa se on sidottava ajoneuvon alustaan tai kuormakoriin vähintään yhdellä sidoksella. Jos kuljetettavan tavaran nimellispituus on suurempi kuin kolme metriä, on käytettävä vähintään kahta sidosta. Jos kuljetettava esine tai tavaranippu on tuettu sivutolppia vasten, sen tulee nojata vähintään kahteen saman sivun pystytolppaan.

4. Kontti, jota ei voida lukita konttilukoilla, on sidottava vähintään neljällä sidoksella ylä- tai alakulmakiinnittimistä sekä tarvittaessa tuettava kuormakoriin.

5. Kuorman liikkumista eteenpäin estävien sidosten nimellislujuuksien summan kuormatilan molemmilta puolilta yhteen laskettuna on oltava vähintään kuorman painon suuruinen sekä sivulle ja taaksepäin vähintään puolet kuorman painosta, jollei kuorman tuenta ja kitka kuorman ja kuormatilan pohjan välillä tai kuorman laatu salli pienempää sidonnan lujuutta.

49 § Kuorman merkitseminen

🇫🇮 Avaa kopio
🇸🇪 Avaa ruotsinkielinen kopio

1. Milloin kuorma ulottuu edessä ajoneuvon ääriviivan ulkopuolelle tai takana yli yhden metrin ääriviivan ulkopuolelle, on kuorman uloin osa selvästi merkittävä. Merkintään on käytettävä punaista tai punakeltaista vähintään 300 mm x 300 mm suuruista merkkilippua.

2. Pimeän tai hämärän aikana tahi muulloinkin sääolosuhteiden taikka vastaavan syyn sitä edellyttäessä on kuormanulokkeen merkintään käytettävä edessä valkoista valoa eteenpäin näyttävää valaisinta ja valkoista heijastinta sekä takana punaista valoa taaksepäin näyttävää valaisinta ja punaista heijastinta.

7 luku Eräiden valaisinten ja heijastavien kilpien käyttö

🇫🇮 Avaa kopio
🇸🇪 Avaa ruotsinkielinen kopio

50 § on kumottu A:lla 17.5.2018/368 .

51 § (24.8.2017/570)Eräiden muiden valaisinten käyttö

🇫🇮 Avaa kopio
🇸🇪 Avaa ruotsinkielinen kopio

1. Hälytysajoneuvon varoitusvalaisinta saa käyttää vain ajoneuvon ollessa kiireellisessä tehtävässä tai milloin se liikenteen varoittamiseksi on muutoin tarpeen.

2. Hinausauton varoitusvalaisin on pidettävä toiminnassa valoisanakin aikana, milloin hinausautoa käytetään ajoneuvon nostamiseen tielle tai vetämiseen tien poikki siten, että se voi vaarantaa muuta liikennettä. Vahinkopaikalle ajettaessa ja ajoneuvoa sieltä pois hinattaessa ei valaisinta saa käyttää, jollei se ole erityisestä syystä tarpeen muun liikenteen varoittamiseksi.

3. Milloin muuhun ajoneuvoon kuin hinausautoon tai erikoiskuljetusautoon taikka sen varoitusautoon on asennettu kiertävää tai vilkkuvaa ruskeankeltaista valoa näyttävä varoitusvalaisin, sitä saa käyttää vain, milloin ajoneuvon yleisistä liikennesäännöistä poikkeava kulku tai pysäköinti taikka ajoneuvon leveys tai pituus voi aiheuttaa vaaraa muulle liikenteelle.

4. N-luokan autoon asennettuja työ- ja apuvaloja ei saa pitää kytkettyinä autoa tiellä kuljetettaessa. Tämä kielto ei koske tiellä suoritettavaa työtä.

5. Vetoautona käytettävässä kuorma-autossa sallittua perävaunun tunnusvalaisinta saa käyttää vain perävaunun ollessa kytkettynä.

6. Tiepalveluauton ja ensiaputoimintaan käytettävän auton tunnusvalaisin on peitettävä tai poistettava, kun ajoneuvoa käytetään tiellä osallistumatta tiepalvelu- tai ensiaputoimintaan.

7. Tässä pykälässä tarkoitettuja valaisimia ei saa käyttää, ellei siihen ole tässä pykälässä tarkoitettua tarvetta.

51 a § (18.12.2014/1272)Hitaan ajoneuvon kilpi

🇫🇮 Avaa kopio
🇸🇪 Avaa ruotsinkielinen kopio

1. Kun kolmipyöräisellä mopolla, kevyellä nelipyörällä, jonka leveys on yli 1,00 metriä, rakenteelliselta nopeudeltaan enintään 50 kilometriä tunnissa olevalla traktorilla tai omamassaltaan 0,5 tonnia ylittävällä moottorityökoneella ajetaan tiellä, tulee siinä olla hitaan ajoneuvon kilpi. Kilven saa asentaa myös kevyeen nelipyörään, jonka leveys on enintään 1,00 metriä tai omamassaltaan enintään 0,5 tonnia olevaan moottorityökoneeseen taikka muuhun ajoneuvoon, jonka rakenteellinen nopeus ei säädösten tai määräysten mukaan saa ylittää 50 kilometriä tunnissa. (30.12.2015/1612)

2. Työvälineeseen tai hinattavaan ajoneuvoon, joka kytketään 1 momentissa tarkoitettuun ajoneuvoon, on kiinnitettävä hitaan ajoneuvon kilpi, jos työväline tai hinattava ajoneuvo estää vetoajoneuvoon kiinnitetyn hitaan ajoneuvon kilven näkymisen taaksepäin.

3. Hitaan ajoneuvon kilpeä ei edellytetä ajoneuvolta, johon on kytketty hitaan ajoneuvon kilvellä varustettu ajoneuvo tai työväline taikka joka on ulkomaan rekisterissä.

51 b § (10.1.2019/31)Pitkän ajoneuvoyhdistelmän merkinnät

🇫🇮 Avaa kopio
🇸🇪 Avaa ruotsinkielinen kopio

Yli 15,5 metrin pituisessa kuorma-auton ja perävaunun tai perävaunujen muodostamassa ajoneuvoyhdistelmässä tulee olla E-säännön n:o 70 alkuperäistä versiota tai sitä uudempaa muutossarjaa vastaava tunnuskilpi. Vaihtoehtoisesti ajoneuvoyhdistelmässä saa olla 25 millimetriä levein punaisin päiväloistevärillä maalatuin tai heijastavin reunuksin varustettu vähintään 0,30 metriä kertaa 0,80 metriä mittainen kilpi, jossa on keltaisella heijastavalla pohjalla musta ajoneuvoyhdistelmän kuva, jonka alla saa olla merkintä yhdistelmän pituudesta.

Yli 18,75 metrin pituisessa kuorma-auton ja puoliperävaunun yhdistelmässä ja muussa yli 25,25 metrin pituisessa ajoneuvoyhdistelmässä tulee 1 momentissa säädetyn lisäksi olla ajoneuvojen sivuilla heijastavat ääriviivamerkinnät sekä E-säännön n:o 48 6.13 kohdassa tarkoitetut vapaaehtoiset äärivalaisimet ajoneuvoyhdistelmän viimeisessä perävaunussa.

Yli 25,25 metrin pituisessa ajoneuvoyhdistelmässä tulee olla vähintään 0,45 neliömetrin suuruinen, väriltään ja heijastuvuusominaisuudeltaan E-säännön n:o 70 vaatimusten mukainen kilpi, johon on vähintään 200 millimetriä korkein kirjaimin merkitty suomenkielinen teksti ”PITKÄ”, ruotsinkielinen teksti ”LÅNG” tai englanninkielinen teksti ”LONG”. Kilvessä saa lisäksi olla musta ajoneuvoyhdistelmän kuva, jonka alla saa olla merkintä yhdistelmän pituudesta. Tässä momentissa tarkoitetulla kilvellä saa korvata 1 momentin mukaisen kilven.

8 luku Erinäisiä säännöksiä

52 § (10.1.2019/31)Ajoneuvon ja ajoneuvoyhdistelmän hyväksyminen otettavaksi käyttöön massoja ja mittoja koskevista säännöksistä poiketen

🇫🇮 Avaa kopio
🇸🇪 Avaa ruotsinkielinen kopio

Liikenne- ja viestintävirasto voi myöntää yksittäistä ajoneuvoa tai ajoneuvoyhdistelmää koskevan poikkeuksen 20, 21, 23, 23 a, 24–26, 31, 32, 32 a ja 32 b §:n säännöksistä, jos se on tarpeen uuden tekniikan kokeilun, tuotekehityksen tai muun erityisen syyn takia. Edellytyksenä on lisäksi, että poikkeuksen myöntäminen ei vaaranna liikenneturvallisuutta eikä vääristä kilpailua. Poikkeus voidaan myöntää määräaikaisena ja siihen voidaan liittää ehtoja.

53 § (8.12.2011/1227)Muut poikkeukset

🇫🇮 Avaa kopio
🇸🇪 Avaa ruotsinkielinen kopio

1. Liikenteen turvallisuusvirasto voi erityisestä syystä myöntää poikkeuksen 16 §:n 2 momentin, 17 §:n 1 momentin ja 18 §:n 2 momentin talvi- ja nastarenkaiden käyttöaikaa koskevista säännöksistä.

2. Liikenteen turvallisuusvirasto voi myöntää rallikilpailuihin osallistuvalle ajoneuvolle poikkeuksen nastan ulkonemaa koskevasta 17 §:n 5 momentin säännöksestä.

3. Liikenteen turvallisuusvirasto voi myöntää elokuvantekoon tai tutkimustyöhön liittyvään toimintaan poikkeuksen 37 §:n 2 momentin säännöksestä.

54 § Muutoksenhaku

🇫🇮 Avaa kopio
🇸🇪 Avaa ruotsinkielinen kopio

1. Muutoksenhausta hallintoviranomaisen tämän asetuksen nojalla antamaan päätökseen säädetään hallintolainkäyttölaissa (586/1996) . (8.12.2011/1227)

2. Tämän asetuksen perusteella annettua päätöstä tai määräystä on noudatettava siitä huolimatta, ettei se ole tullut lainvoimaiseksi, jollei valitusviranomainen toisin määrää.

55 § Rangaistukset

🇫🇮 Avaa kopio
🇸🇪 Avaa ruotsinkielinen kopio

Joka rikkoo tätä asetusta, tuomitaan rangaistukseen niin kuin tieliikennelaissa säädetään.

9 luku Voimaantulosäännökset

56 § Voimaantulo

🇫🇮 Avaa kopio
🇸🇪 Avaa ruotsinkielinen kopio

Tämä asetus tulee voimaan 1 päivänä tammikuuta 1993.

57 § (10.1.2019/31)Siirtymäsäännökset

🇫🇮 Avaa kopio
🇸🇪 Avaa ruotsinkielinen kopio

Asetuksen 5 §:ssä tarkoitettua joutokäyntikieltoa sovelletaan hälytysajoneuvoihin ja luvanvaraisessa liikenteessä oleviin moottoriajoneuvoihin 1 päivästä lokakuuta 1993.

Asetuksen 21 §:n 1 momentin 6 kohdassa tarkoitettuun neliakselisen autoon, joka on otettu ensi kertaa käyttöön ennen 1 päivää tammikuuta 1994 sovelletaan 31 päivä joulukuuta 1993 voimassa olleita ajoneuvon massaa koskevia säännöksiä. Ennen sanottua päivää käyttöön otetun auton tulee täyttää myös 31 päivänä joulukuuta 1993 voimassa olleet säännökset moottorikäyttöisen ajoneuvon äärimmäisten akselien välistä riippuvasta kokonaismassasta.

Ennen tämän asetuksen voimaantuloa liikenteeseen hyväksyttyä ajoneuvoa tai, jos erillistä hyväksymistä ei vaadita, liikenteessä käytettyä ajoneuvoa saa edelleen käyttää liikenteessä tämän asetuksen voimaan tullessa voimassa olleiden säännösten ja määräysten tai tämän asetuksen mukaisin ehdoin.

Valitse pykälä aloittaaksesi keskustelun.

Ei vielä lähteitä näytettäväksi.